Open Access

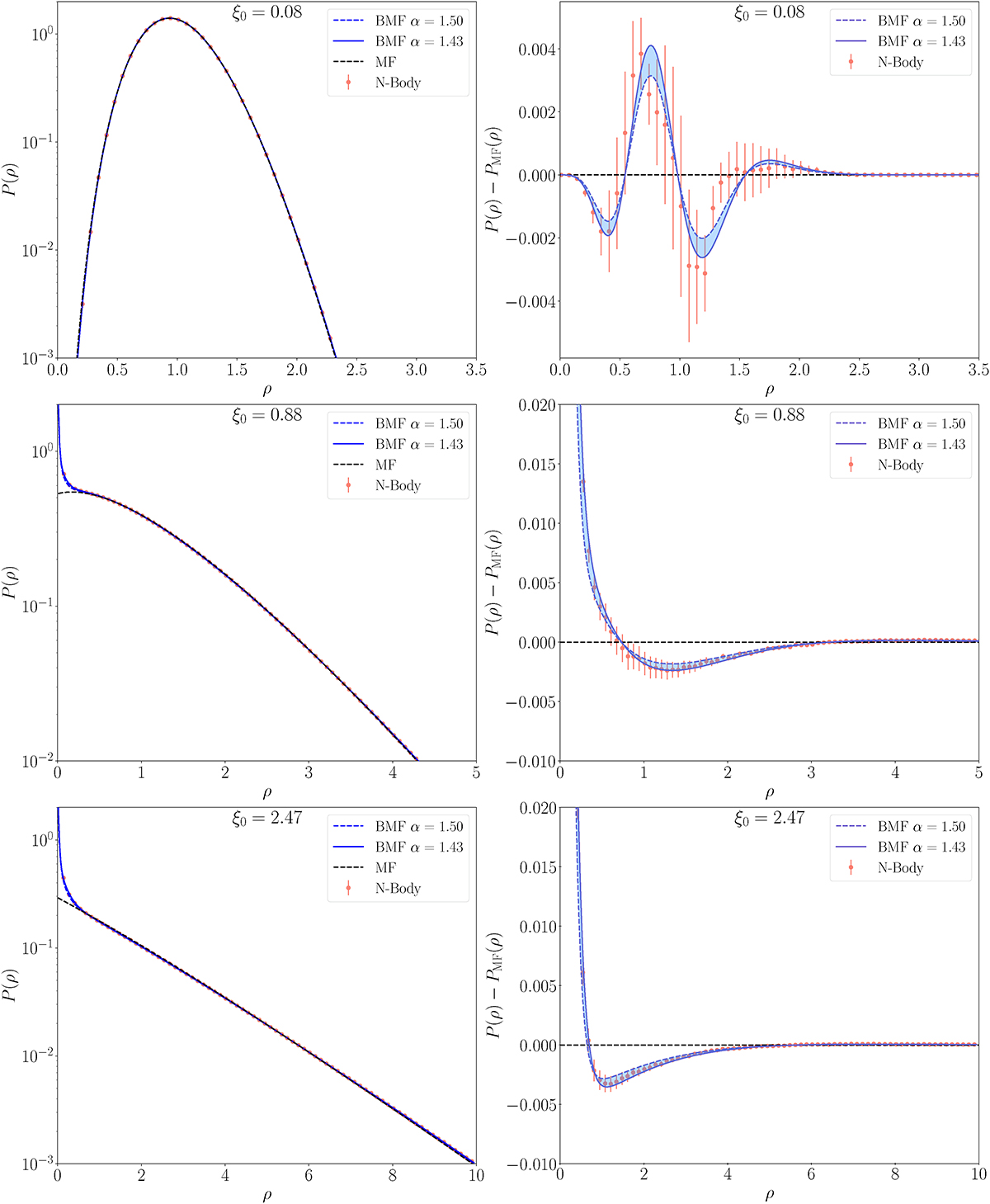
Fig. 3.

image

Download original image

Left: Two-dimensional Lévy flight probability distribution function. Right: difference with respect to the MF with parameters α = 3/2, ξ0 = 0.08, 0.88, 2.47 (top-bottom panels), L = 4000 × Δ (box width), Npts = 40 × 20002 (number of steps), Δ = 0.25 (resolution), and R = 1 (smoothing scale). The error bars show the standard deviation in the left panels and the error on the mean for 100 realisations in the right panels. The points are the sample means. The corresponding standard deviations of the fields are given by σ 0 = ξ 0 = 0.28 , 0.94 , 1.57 $ \sigma_{0} = \sqrt{\xi_{0}} = 0.28, 0.94, 1.57 $ (top-bottom). The BMF prediction agrees well with the simulations even in the non-perturbative, non-Gaussian regime.

Current usage metrics show cumulative count of Article Views (full-text article views including HTML views, PDF and ePub downloads, according to the available data) and Abstracts Views on Vision4Press platform.

Data correspond to usage on the plateform after 2015. The current usage metrics is available 48-96 hours after online publication and is updated daily on week days.

Initial download of the metrics may take a while.