Open Access

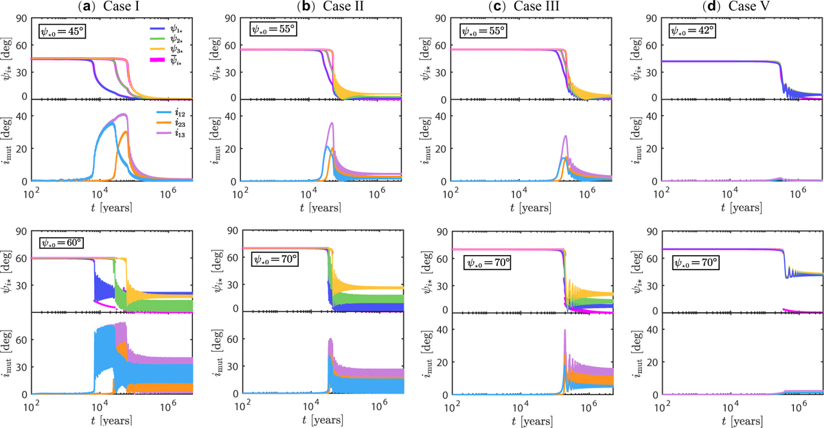
Fig. 11

image

Download original image

Dynamical evolution of multi-planet systems from Table 2. Each column displays the evolution of stellar obliquities and mutual planetary inclinations for a system under two distinct initial stellar obliquity angles (ψ⋆0). The magenta curves in each obliquity panel represent the evolution paths of equilibria. Note that in all simulations, we ignore the evolution of the eccentricity vectors by assuming all the orbits are initially circular. In addition to the parameters given in Table 2, other integration parameters are: m = 1M, τd = 1 × 104 yr, rin = 0.03 au, and rout = 50 au. The disk mass (md) is set to 0.05M for Cases I-III and to 0.02M for Case V, respectively.

Current usage metrics show cumulative count of Article Views (full-text article views including HTML views, PDF and ePub downloads, according to the available data) and Abstracts Views on Vision4Press platform.

Data correspond to usage on the plateform after 2015. The current usage metrics is available 48-96 hours after online publication and is updated daily on week days.

Initial download of the metrics may take a while.