Open Access

Fig. 2

image

Download original image

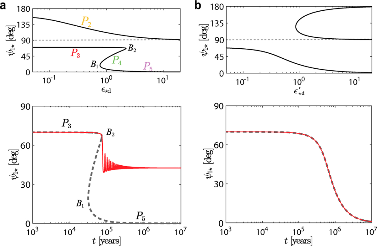
Coplanar equilibrium solutions and examples of orbital evolution using the full-space (nonlinear) disk gravity model (a) and the approximate linear model (b). The upper panels of (a) and (b) show equilibrium solutions as a function of ϵ⋆d (or ϵd$\[\epsilon_{\star \mathrm{d}}^{\prime}\]$) for ψ⋆0 = 70°. In (a), the coplanar equilibria (P2, P3, P4, and P5) and bifurcations (B1 and B2) are denoted. The lower panels of (a) and (b) show the evolution of the stellar obliquity through numerical integrations of corresponding secular equations. The dashed curves in the two panels represent the evolution of the equilibria.

Current usage metrics show cumulative count of Article Views (full-text article views including HTML views, PDF and ePub downloads, according to the available data) and Abstracts Views on Vision4Press platform.

Data correspond to usage on the plateform after 2015. The current usage metrics is available 48-96 hours after online publication and is updated daily on week days.

Initial download of the metrics may take a while.