Open Access

Fig. 5.

image

Download original image

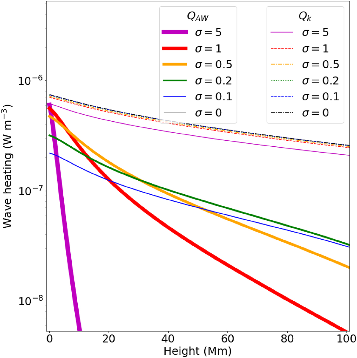
Heating rates (given in W m−3) corresponding to Alfvén and kink waves given the same energy injection are shown as functions of height for the various reflection rates considered. The reflection coefficients (σ) are 5 (pink), 1 (red), 0.5 (orange), 0.2 (green), 0.1 (blue), and 0 (black) which leads to no Alfvén wave heating. The various thicknesses of lines refer to the Alfvén wave heating term, and the various line styles refer to the kink wave heating terms.

Current usage metrics show cumulative count of Article Views (full-text article views including HTML views, PDF and ePub downloads, according to the available data) and Abstracts Views on Vision4Press platform.

Data correspond to usage on the plateform after 2015. The current usage metrics is available 48-96 hours after online publication and is updated daily on week days.

Initial download of the metrics may take a while.