Open Access

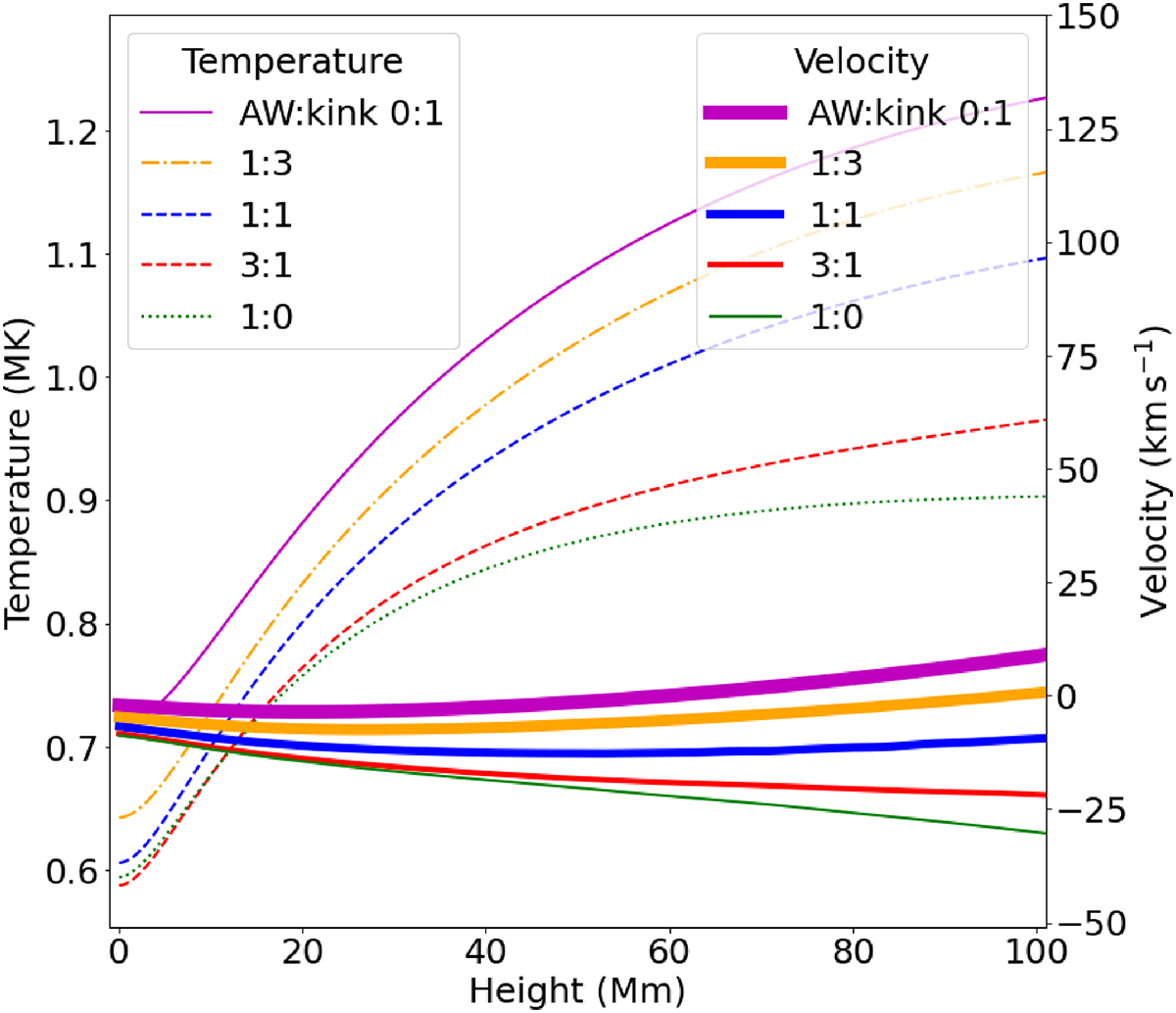
Fig. 8.

image

Download original image

Temperature and velocity are shown as functions of height (Mm) plotted at a time of t = 1800 s, where the ratio of Alfvén to kink wave energy is varied. The various ratios (Alfvén : kink) are 0:1 (pink), 1:3 (orange), 1:1 (blue), 3:1 (red), and 1:0 (green). The various thicknesses of the lines refer to the velocity and the various line styles refer to the temperature.

Current usage metrics show cumulative count of Article Views (full-text article views including HTML views, PDF and ePub downloads, according to the available data) and Abstracts Views on Vision4Press platform.

Data correspond to usage on the plateform after 2015. The current usage metrics is available 48-96 hours after online publication and is updated daily on week days.

Initial download of the metrics may take a while.