Open Access

Fig. B.4

image

Download original image

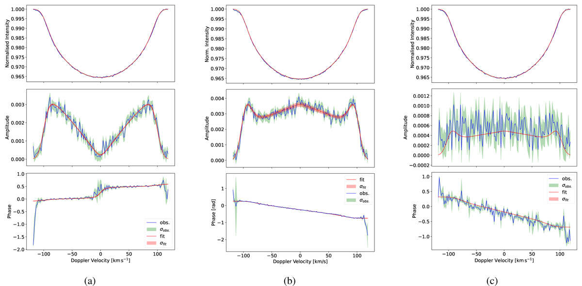
Best fit for Si III λ4574 line mode identifications performed with the FPF method in multimode configuration with i = 60°, υe sin i = 100 km s−1, f1 = 5.25 d−1, (11, m1) = (0,0), υamp1 = 21 km s−1, f2 = 5.385 d−1, (12,m2) = (2,2), and υamp2 = 21 or 3km s−1 as inputs. The multimode model fits the zero-point (top panels), amplitude (middle panels), and phase (bottom panels) profiles for the radial (a), 21 km s−1 sectoral (b), and 3 km s−1 sectoral (c) modes.

Current usage metrics show cumulative count of Article Views (full-text article views including HTML views, PDF and ePub downloads, according to the available data) and Abstracts Views on Vision4Press platform.

Data correspond to usage on the plateform after 2015. The current usage metrics is available 48-96 hours after online publication and is updated daily on week days.

Initial download of the metrics may take a while.