Open Access

Fig. 3

image

Download original image

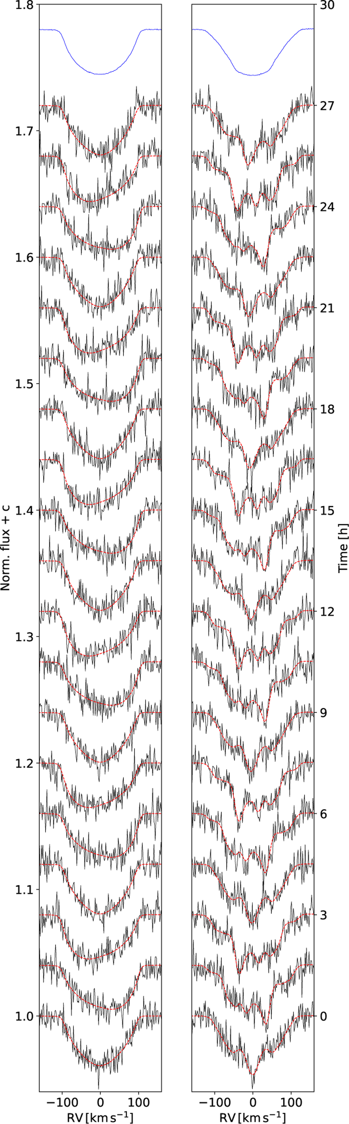
Si III λ4574 line time series assuming an inclination of 60°, a projected rotational velocity (υe sin i) of 100 km s−1, a cadence of 90 min, and an exposure time (texp) of 15 min at Vmag = 4, resulting in a S/N of ≈ 140. Left panel: multimode configuration: a radial mode at 5.25 d−1 with an intrinsic velocity amplitude (υamp1) of 21 km s−1 and a sectoral l = m = 2 mode at 5.385 d−1 with υamp2 = 21 km s−1. Right panel: single mode configuration: a tesseral (l, m) = (8,6) mode at 5.25 d−1 and with υamp = 21 km s−1. The dashed red lines show the noiseless profiles, and the blue lines show the average profile of each series.

Current usage metrics show cumulative count of Article Views (full-text article views including HTML views, PDF and ePub downloads, according to the available data) and Abstracts Views on Vision4Press platform.

Data correspond to usage on the plateform after 2015. The current usage metrics is available 48-96 hours after online publication and is updated daily on week days.

Initial download of the metrics may take a while.