Open Access

Fig. 4.

image

Download original image

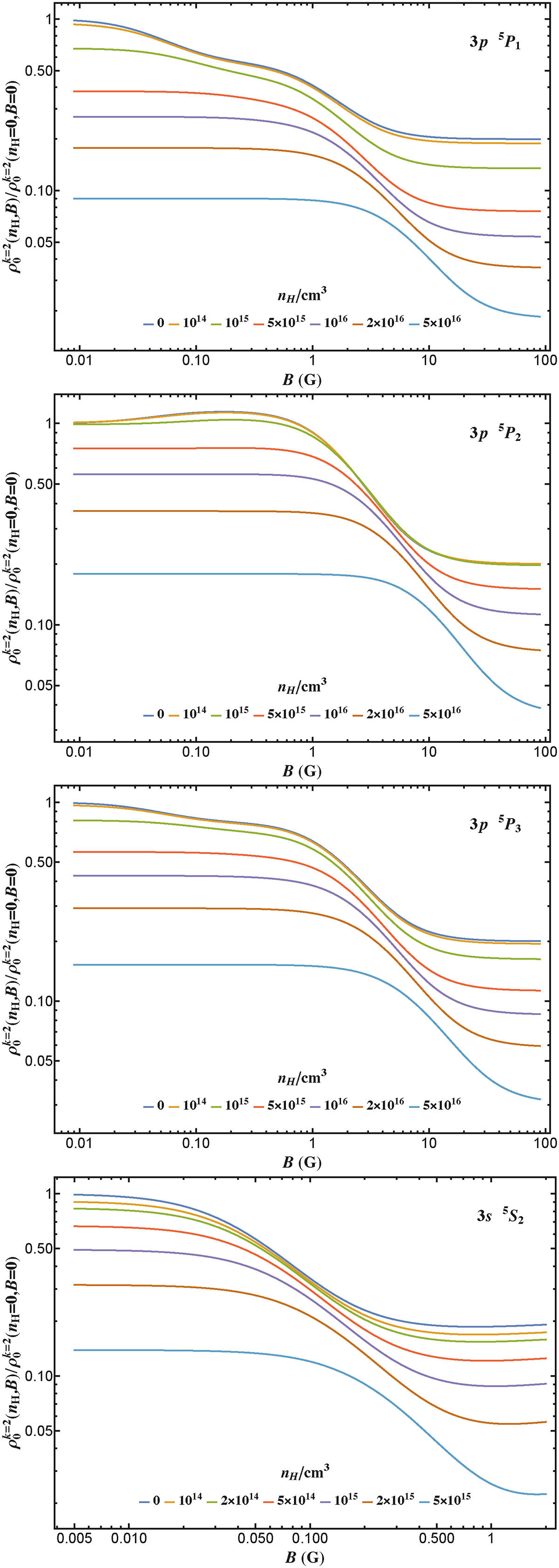
Normalized alignment, ρ0(2)(nH, B)/ρ0(2)(nH = 0, B = 0), as a function of the magnetic field strength B for several hydrogen densities nH, for four levels of O I. From top to bottom: 3p5P1, 3p5P2, 3p5P3, and 3s5S2. Each curve corresponds to a fixed value of nH, ranging from 0 to 5 × 1016 cm−3, as labeled. The plots illustrate how both elastic collisions with neutral hydrogen and the Hanle effect contribute to the depolarization of each level.

Current usage metrics show cumulative count of Article Views (full-text article views including HTML views, PDF and ePub downloads, according to the available data) and Abstracts Views on Vision4Press platform.

Data correspond to usage on the plateform after 2015. The current usage metrics is available 48-96 hours after online publication and is updated daily on week days.

Initial download of the metrics may take a while.