Open Access

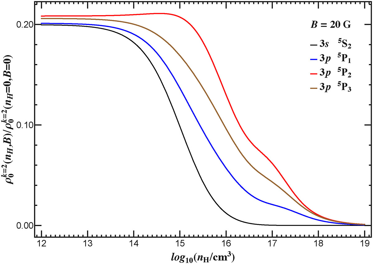
Fig. 5.

image

Download original image

Same as Figure 2, but for a magnetic field strength of B = 20 G, illustrating the combined effect of elastic collisions and magnetic depolarization (Hanle effect) on the atomic alignment of the O I IR triplet levels.

Current usage metrics show cumulative count of Article Views (full-text article views including HTML views, PDF and ePub downloads, according to the available data) and Abstracts Views on Vision4Press platform.

Data correspond to usage on the plateform after 2015. The current usage metrics is available 48-96 hours after online publication and is updated daily on week days.

Initial download of the metrics may take a while.