Open Access

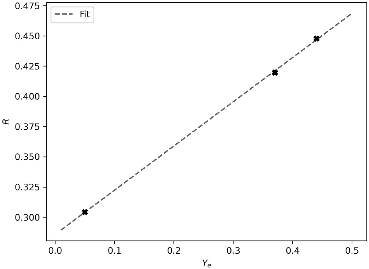
Fig. A.2.

image

Download original image

Ratio of flux integrals R = Ic/IYe as defined in Eq. A.1, calculated using the fluxes extracted from Figs. 5 and 6 of Gillanders et al. 2022. These fluxes correspond to the continuum (orange line in Fig. 5), Ye = 0.37a (blue line in Fig. 5), Ye = 0.44a (blue line in Fig. 6), and Ye = 0.05b (purple line in Fig. 6). The dashed grey line represents the linear fit as detailed in Eq. A.3.

Current usage metrics show cumulative count of Article Views (full-text article views including HTML views, PDF and ePub downloads, according to the available data) and Abstracts Views on Vision4Press platform.

Data correspond to usage on the plateform after 2015. The current usage metrics is available 48-96 hours after online publication and is updated daily on week days.

Initial download of the metrics may take a while.