Open Access

Fig. 1

image

Download original image

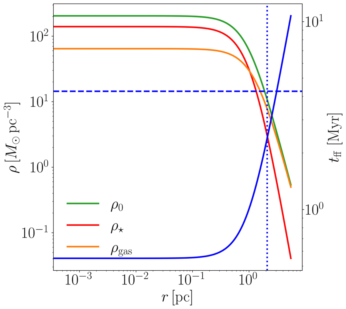
Initial density and free-fall time, teff, of the cluster derived by Shukirgaliyev et al. (2017) as a function of radius. The initial gas density (Eq. (5)) is shown in green, the final stellar density (Eq. (4)) in red, and the final gas density (Eq. (6)) in orange. The initial density profile is used directly in the simulation setup. The free-fall time, tff, of the initial gas density distribution as a function of radius is shown in (solid blue). The horizontal dashed blue line indicates the free-fall time corresponding to the average density, while the vertical dotted blue line marks the half-mass radius, rh, of the initial gas distribution. The local value of tff is shortest in the central regions and increases significantly toward larger radii.

Current usage metrics show cumulative count of Article Views (full-text article views including HTML views, PDF and ePub downloads, according to the available data) and Abstracts Views on Vision4Press platform.

Data correspond to usage on the plateform after 2015. The current usage metrics is available 48-96 hours after online publication and is updated daily on week days.

Initial download of the metrics may take a while.