Open Access

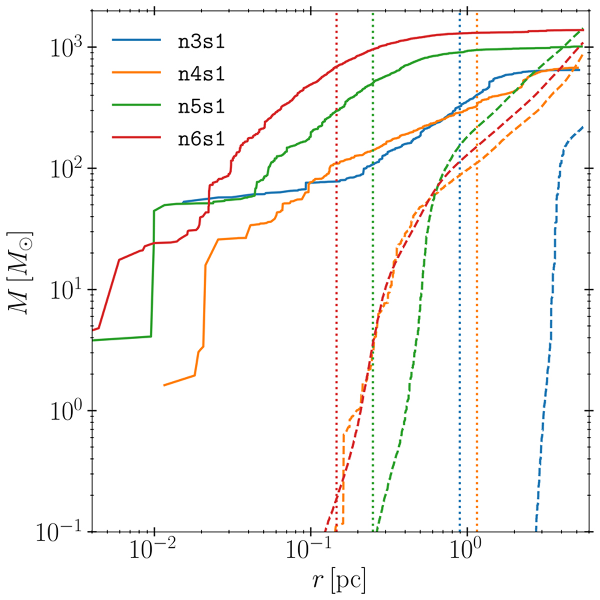
Fig. 9

image

Download original image

Enclosed mass of the star cluster (solid lines) and of the gas (dashed lines) at 4.5 tff for different resolutions, with the maximum refinement level n given by the first digit of the model names. The half-mass radii of the star clusters at this time are indicated for each resolution by vertical dotted lines.

Current usage metrics show cumulative count of Article Views (full-text article views including HTML views, PDF and ePub downloads, according to the available data) and Abstracts Views on Vision4Press platform.

Data correspond to usage on the plateform after 2015. The current usage metrics is available 48-96 hours after online publication and is updated daily on week days.

Initial download of the metrics may take a while.