Highlight
Open Access

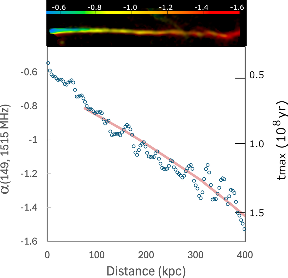
Fig. 3.

image

Download original image

Top: Map of Tail C in Abell 2256 at 6.8″resolution at 149 MHz, (LOFAR reference), color-coded by its spectral index to 1.5 GHz (Owen et al. 2014). Bottom: Observed spectral index between 149 and 1515 MHz, and the corresponding maximum age for relativistic electrons at each location, based on the cutoff frequency calculated from the spectral index, as described in the text. The red line corresponds to an electron transport velocity of 4500 km s−1.

Current usage metrics show cumulative count of Article Views (full-text article views including HTML views, PDF and ePub downloads, according to the available data) and Abstracts Views on Vision4Press platform.

Data correspond to usage on the plateform after 2015. The current usage metrics is available 48-96 hours after online publication and is updated daily on week days.

Initial download of the metrics may take a while.