Open Access

Fig. 5

image

Download original image

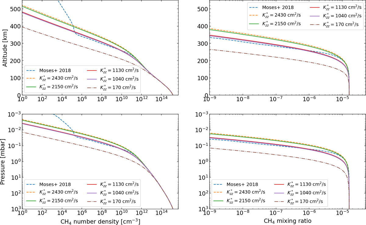
Methane number density and mixing ratio profiles. The profile from Moses et al. (2018) is shown for reference only. All other profiles are calculated using Eq. (1). The profiles with solid lines for Kzz*$K_{zz}^*$ = 2150, 1130, and 1040 cm2/s represent the solution CH4 profiles that reproduce 1280 Å brightnesses of 14, 20, and 21 R (206+1 R)$(20_{ - 6}^{ + 1}\,{\rm{R)}}$, respectively, when resonant scattering by H is included in the radiative transfer simulations. The dot-dashed profile, with Kzz*=170cm2/s$K_{zz}^* = 170\,{\rm{c}}{{\rm{m}}^2}{\rm{/s}}$, provides the observed 1280 Å brightness of 20 R for simulations without including the resonant scattering by H. The starting number density and mixing ratio (at z0 = 0 km or total atmospheric pressure (P) = 1 bar) in all profiles are 1.41 × 1015 cm−3 and 1.6 × 10−5, respectively (see Table 1 for additional profile parameters). The altitude versus pressure profile in the model atmosphere is shown in Fig. B1.

Current usage metrics show cumulative count of Article Views (full-text article views including HTML views, PDF and ePub downloads, according to the available data) and Abstracts Views on Vision4Press platform.

Data correspond to usage on the plateform after 2015. The current usage metrics is available 48-96 hours after online publication and is updated daily on week days.

Initial download of the metrics may take a while.