Open Access

Fig. 1.

image

Download original image

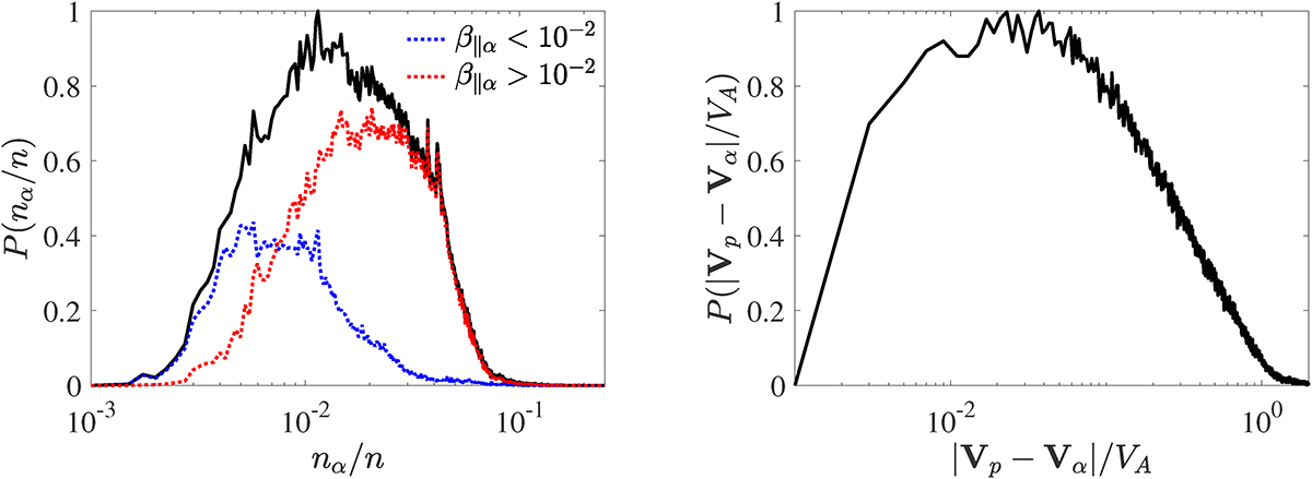
[Left] Probability distribution function for nα/n versus nα/n, showing that the most probable value of nα/n is ∼𝒪(10−2). Those alpha particles satisfying the condition βα < 10−2, which turns out to be susceptible to collisional relaxation, are treated separately, and their partial probability distribution function is plotted with blue dots. The opposite condition βα > 10−2 turns out to define the solar wind condition susceptible to instability relaxation, and these alpha particles are treated separately. Their partial probability distribution function is plotted with red dots. [Right] Probability distribution function for |Vp − Vα|/VA versus the normalized proton-to-alpha relative drift speed, |Vp − Vα|/VA, showing that the most probable value of |Vp − Vα|/VA is also ∼𝒪(10−2).

Current usage metrics show cumulative count of Article Views (full-text article views including HTML views, PDF and ePub downloads, according to the available data) and Abstracts Views on Vision4Press platform.

Data correspond to usage on the plateform after 2015. The current usage metrics is available 48-96 hours after online publication and is updated daily on week days.

Initial download of the metrics may take a while.