Open Access

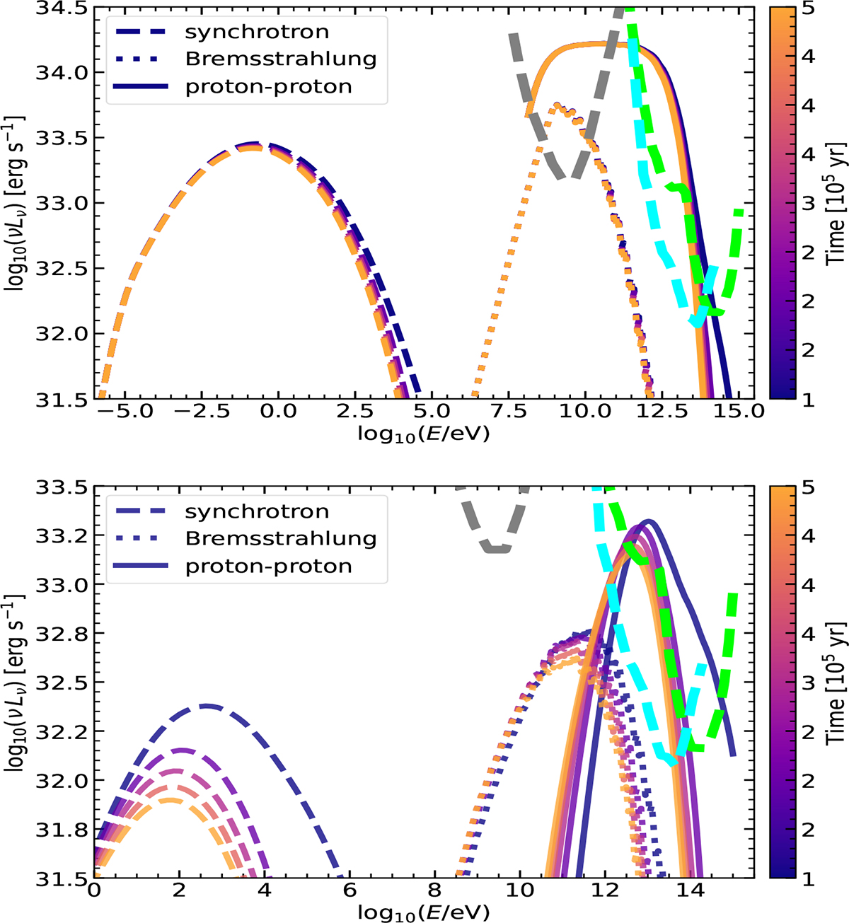
Fig. 3.

image

Download original image

Spectral energy distributions of the illuminated clouds at different times (see color bar). Leptonic emission is produced by secondary pairs created in the cloud via pp interactions. Thick dashed lines show the sensitivity curves of Fermi (10 yr, gray), SWGO (5 yr, light blue), and LHAASO (1 yr, green) for a Galactic MQR at 5 kpc. Top: Cloud in the MQR. Bottom: Cloud at 100 pc from the MQR (continuous scenario).

Current usage metrics show cumulative count of Article Views (full-text article views including HTML views, PDF and ePub downloads, according to the available data) and Abstracts Views on Vision4Press platform.

Data correspond to usage on the plateform after 2015. The current usage metrics is available 48-96 hours after online publication and is updated daily on week days.

Initial download of the metrics may take a while.