Open Access

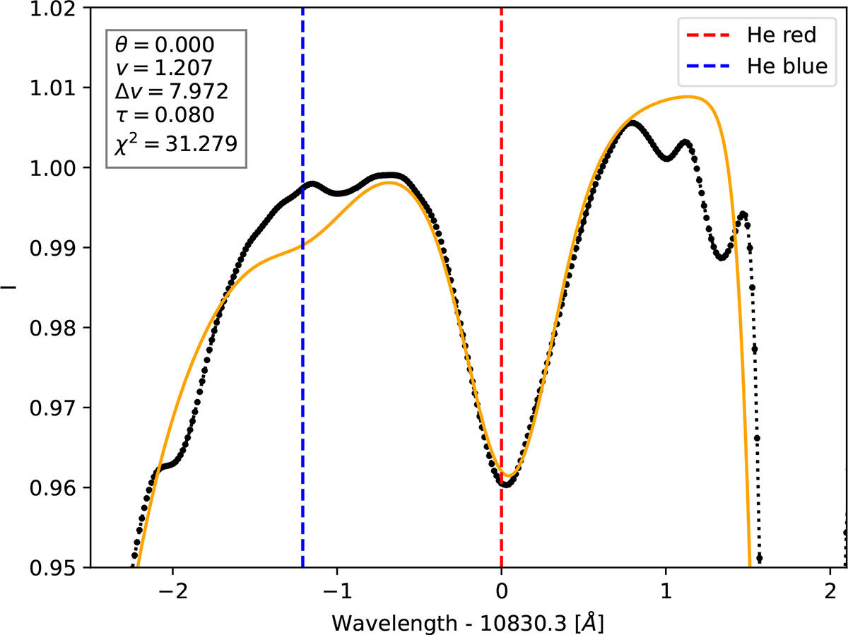
Fig. 2.

image

Download original image

HAZEL fit (orange) of He I triplet observations at μ = 1 (black dashed). The rest velocities of the red and blue components are marked with vertical lines in the respective colors. Basic information and the best-fit parameters are given in the box at the upper-left corner. These include the heliocentric angle, θ, the Doppler velocity, v, the Doppler width, Δv, the optical depth, τ, and the quality of fit, χ2.

Current usage metrics show cumulative count of Article Views (full-text article views including HTML views, PDF and ePub downloads, according to the available data) and Abstracts Views on Vision4Press platform.

Data correspond to usage on the plateform after 2015. The current usage metrics is available 48-96 hours after online publication and is updated daily on week days.

Initial download of the metrics may take a while.