Open Access

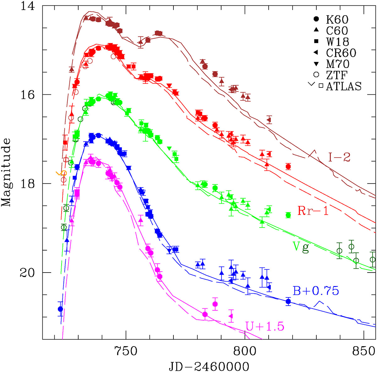
Fig. 1.

image

Download original image

Light curves of SN 2025bvm in the UBVRI bands. The gr magnitudes from ZTF and the o-band magnitude and upper limit from ATLAS are also plotted. The data in the different filters are shown in different colors and shifted vertically for better display. A comparison with the light curves of SNe Ia 2003du (solid lines) and 2011fe (dashed lines) is presented.

Current usage metrics show cumulative count of Article Views (full-text article views including HTML views, PDF and ePub downloads, according to the available data) and Abstracts Views on Vision4Press platform.

Data correspond to usage on the plateform after 2015. The current usage metrics is available 48-96 hours after online publication and is updated daily on week days.

Initial download of the metrics may take a while.