Open Access

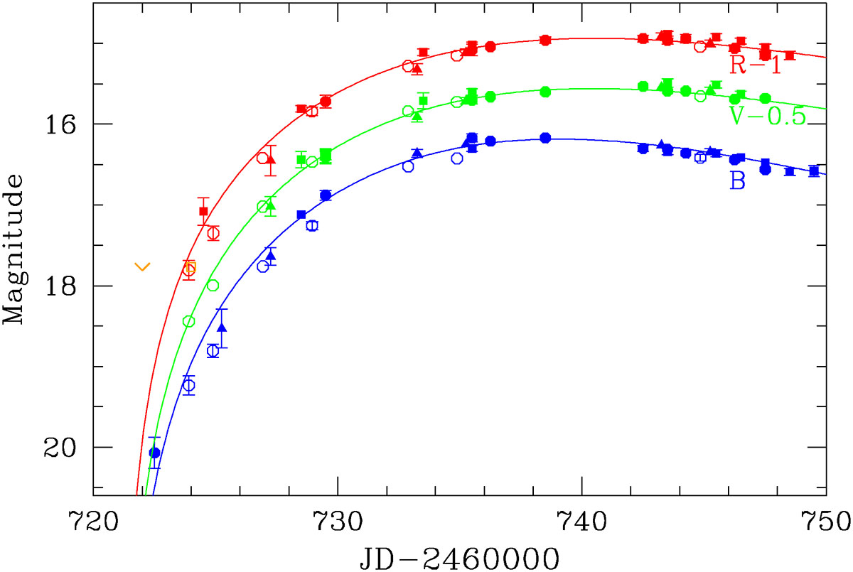
Fig. 2.

image

Download original image

Rising parts of the BVR light curves of SN 2025bvm and fitting with the expression from Zheng et al. (2017) (solid lines). The symbols are the same as in Fig. 1. We calculated the BVR magnitudes from the ZTF data using relations for the stars from Jester et al. (2005).

Current usage metrics show cumulative count of Article Views (full-text article views including HTML views, PDF and ePub downloads, according to the available data) and Abstracts Views on Vision4Press platform.

Data correspond to usage on the plateform after 2015. The current usage metrics is available 48-96 hours after online publication and is updated daily on week days.

Initial download of the metrics may take a while.