Open Access

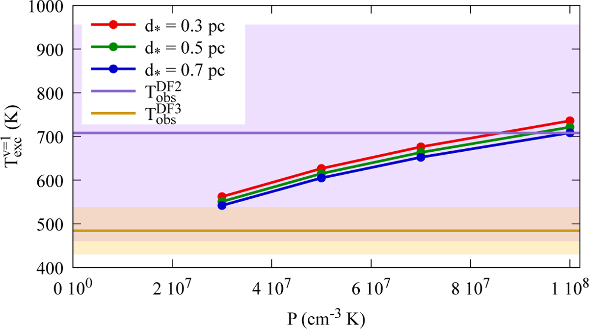
Fig. 15

image

Download original image

Excitation temperature for v = 1 for various values of P and d*. The observational range of excitation temperatures is displayed as a colored band: yellow for DF3 and purple for DF2.

Current usage metrics show cumulative count of Article Views (full-text article views including HTML views, PDF and ePub downloads, according to the available data) and Abstracts Views on Vision4Press platform.

Data correspond to usage on the plateform after 2015. The current usage metrics is available 48-96 hours after online publication and is updated daily on week days.

Initial download of the metrics may take a while.