Open Access

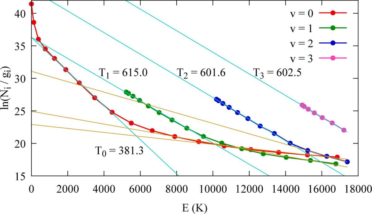
Fig. 7

image

Download original image

Full modeled excitation diagram for HD. Light blue lines indicates fits to lowest J for each v giving the indicated excitation temperatures Tex, light golden lines shows fits to high J giving a TexhighJ$\[T_{e x}^{\text {high} ~J}\]$ beyond the visible change of slope.

Current usage metrics show cumulative count of Article Views (full-text article views including HTML views, PDF and ePub downloads, according to the available data) and Abstracts Views on Vision4Press platform.

Data correspond to usage on the plateform after 2015. The current usage metrics is available 48-96 hours after online publication and is updated daily on week days.

Initial download of the metrics may take a while.