Open Access

Fig. 2.

image

Download original image

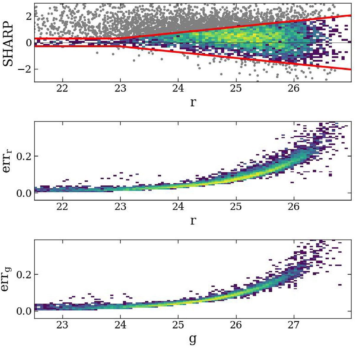
Upper panel: Distribution of the Daophot SHARP shape parameter as a function of r magnitude. Sources that lie in the region enclosed by the red contours are considered as likely stars, while those outside the contours (grey points), mostly distant unresolved galaxies, have been excluded from the subsequent analysis. Middle and lower panels: Distribution of the photometric errors in r and g as a function of r and g magnitude, respectively.

Current usage metrics show cumulative count of Article Views (full-text article views including HTML views, PDF and ePub downloads, according to the available data) and Abstracts Views on Vision4Press platform.

Data correspond to usage on the plateform after 2015. The current usage metrics is available 48-96 hours after online publication and is updated daily on week days.

Initial download of the metrics may take a while.