Open Access

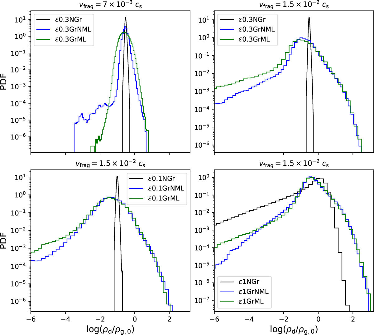
Fig. D.2.

image

Download original image

Time-averaged PDF of the dust-to-gas ratio in the saturated regime of the SI for different values of initial dust-to-gas ratio ϵ0 and fragmentation velocity vfrag. Different dust growth scenarios are explored: NGr, GrNML, and GrML.

Current usage metrics show cumulative count of Article Views (full-text article views including HTML views, PDF and ePub downloads, according to the available data) and Abstracts Views on Vision4Press platform.

Data correspond to usage on the plateform after 2015. The current usage metrics is available 48-96 hours after online publication and is updated daily on week days.

Initial download of the metrics may take a while.