Open Access

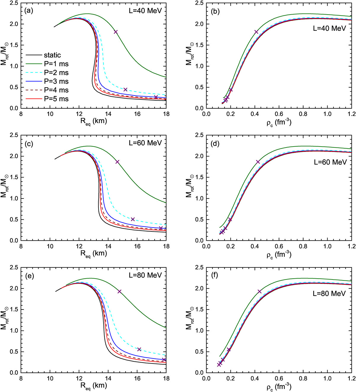
Fig. 4.

image

Download original image

Rotational mass-equatorial radius relations and central-density dependence. Left panels show rotational mass-equatorial radius sequences for unified TM1 EOSs with varying symmetry energy slope, L, and spin period, P. Right panels give the rotational mass, Mrot, as a function of central density, ρc. The purple crosses mark the rotational mass at the Kepler limit.

Current usage metrics show cumulative count of Article Views (full-text article views including HTML views, PDF and ePub downloads, according to the available data) and Abstracts Views on Vision4Press platform.

Data correspond to usage on the plateform after 2015. The current usage metrics is available 48-96 hours after online publication and is updated daily on week days.

Initial download of the metrics may take a while.