Open Access

Fig. 7.

image

Download original image

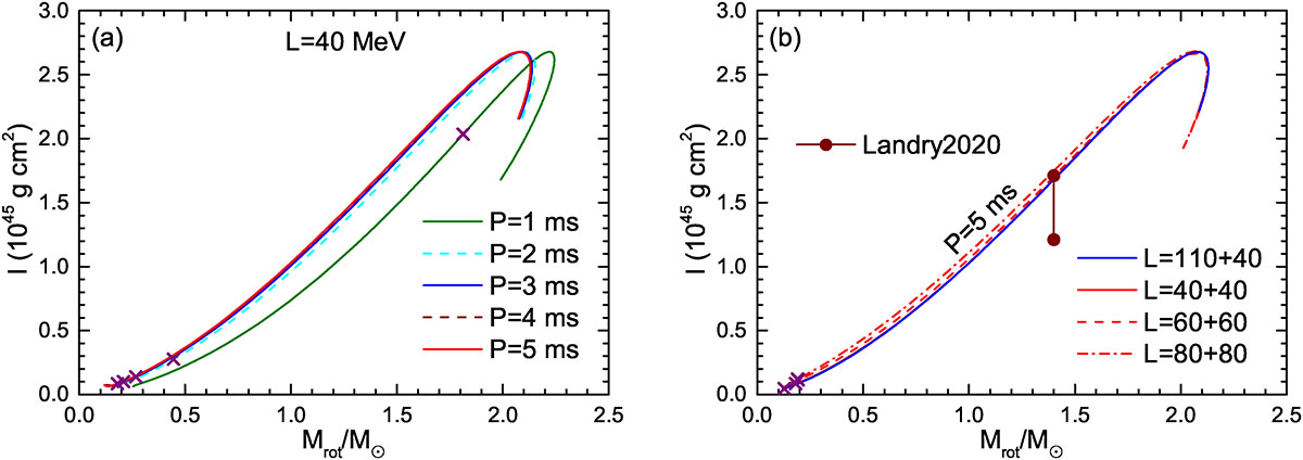
Moment of inertia, I, as a function of the gravitational mass of the MSPs for the family TM1 parameter set. Panel (a) represents results from unified EOS L = 40 MeV, while panel (b) shows a comparison of different EOSs with P = 5 ms.

Current usage metrics show cumulative count of Article Views (full-text article views including HTML views, PDF and ePub downloads, according to the available data) and Abstracts Views on Vision4Press platform.

Data correspond to usage on the plateform after 2015. The current usage metrics is available 48-96 hours after online publication and is updated daily on week days.

Initial download of the metrics may take a while.