Open Access

Fig. 1.

image

Download original image

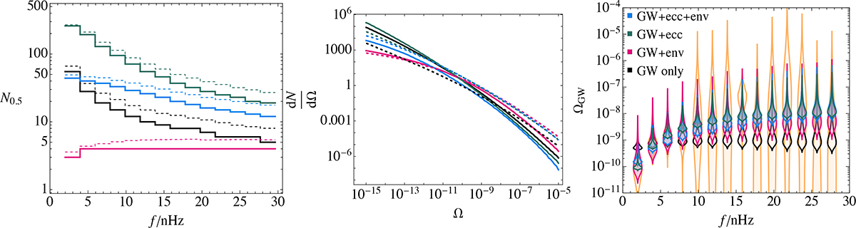
Gravitational wave (GW) characteristics of the SMBH binary population for four different SMBH models: purely GW driven inspirals (GW only), inspirals with environmental effects (GW+env), inspirals of eccentric SMBH binaries (GW+ecc), and inspirals of eccentric SMBH binaries with environmental effects (GW+ecc+env). Left panel: Median (solid line) and mean (dashed line) number of the strongest sources contributing half the signal at each PTA frequency band. Middle panel: Distributions of contributions from individual binaries at 1.98 nHz (solid lines) and 27.68 nHz (dashed lines). Right panel: Distributions of the GW spectra in the n × 1.98 nHz frequency bins compared to NANOGrav 15-year data (yellow violin plots).

Current usage metrics show cumulative count of Article Views (full-text article views including HTML views, PDF and ePub downloads, according to the available data) and Abstracts Views on Vision4Press platform.

Data correspond to usage on the plateform after 2015. The current usage metrics is available 48-96 hours after online publication and is updated daily on week days.

Initial download of the metrics may take a while.