Open Access

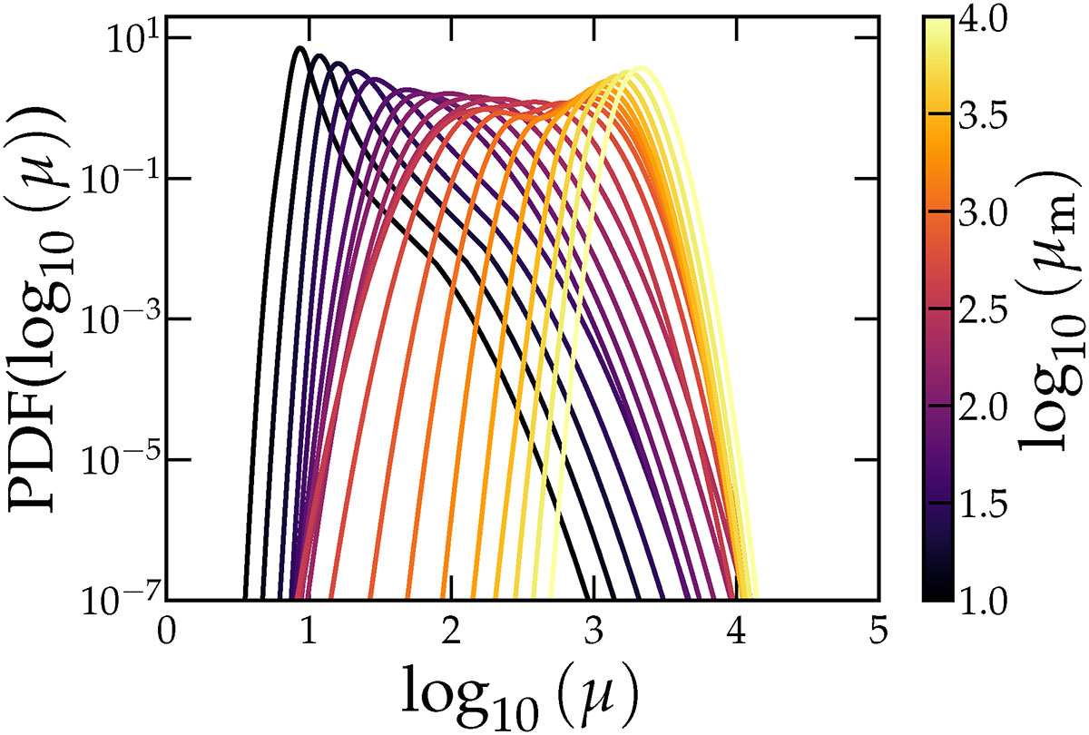
Fig. 2.

image

Download original image

Probability distribution of total magnification, P(μ), after accounting for macromodel and microlenses. Each curve is for a fixed macromagnification μm as indicated by the curve’s color and the color bar on the right. As explained in the text, μm mainly depends on separation from the cluster CC. The curves were derived with the code M_SMiLe (Palencia et al. 2024b), which computes the PDF of magnification for any combination of redshifts, μm, and Σ*.

Current usage metrics show cumulative count of Article Views (full-text article views including HTML views, PDF and ePub downloads, according to the available data) and Abstracts Views on Vision4Press platform.

Data correspond to usage on the plateform after 2015. The current usage metrics is available 48-96 hours after online publication and is updated daily on week days.

Initial download of the metrics may take a while.