Open Access

Fig. 8.

image

Download original image

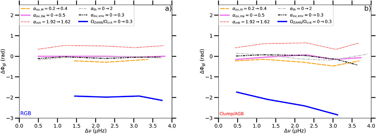
Dependence of the modulation phase Φgl on input physics as a function of Δν. The relative difference ΔΦgl = Φgl, mod − Φgl, ref, where Φgl, ref and Φgl, mod are the modulation phases found in the reference and modified models, is shown for 0.5 μHz wide Δν bins between 0.1 μHz and 4.0 μHz (except for the first Δν bin that is [0.1, 0.5] μHz). The reference model is defined with 1.75 M and solar metallicity, and the input physics are those indicated in Table 1. The settings of the modified models are similar to those of the reference models, except for one parameter, which is changed as indicated on the labels. (a) and (b) are obtained on the RGB and clump stage plus AGB, respectively.

Current usage metrics show cumulative count of Article Views (full-text article views including HTML views, PDF and ePub downloads, according to the available data) and Abstracts Views on Vision4Press platform.

Data correspond to usage on the plateform after 2015. The current usage metrics is available 48-96 hours after online publication and is updated daily on week days.

Initial download of the metrics may take a while.