Open Access

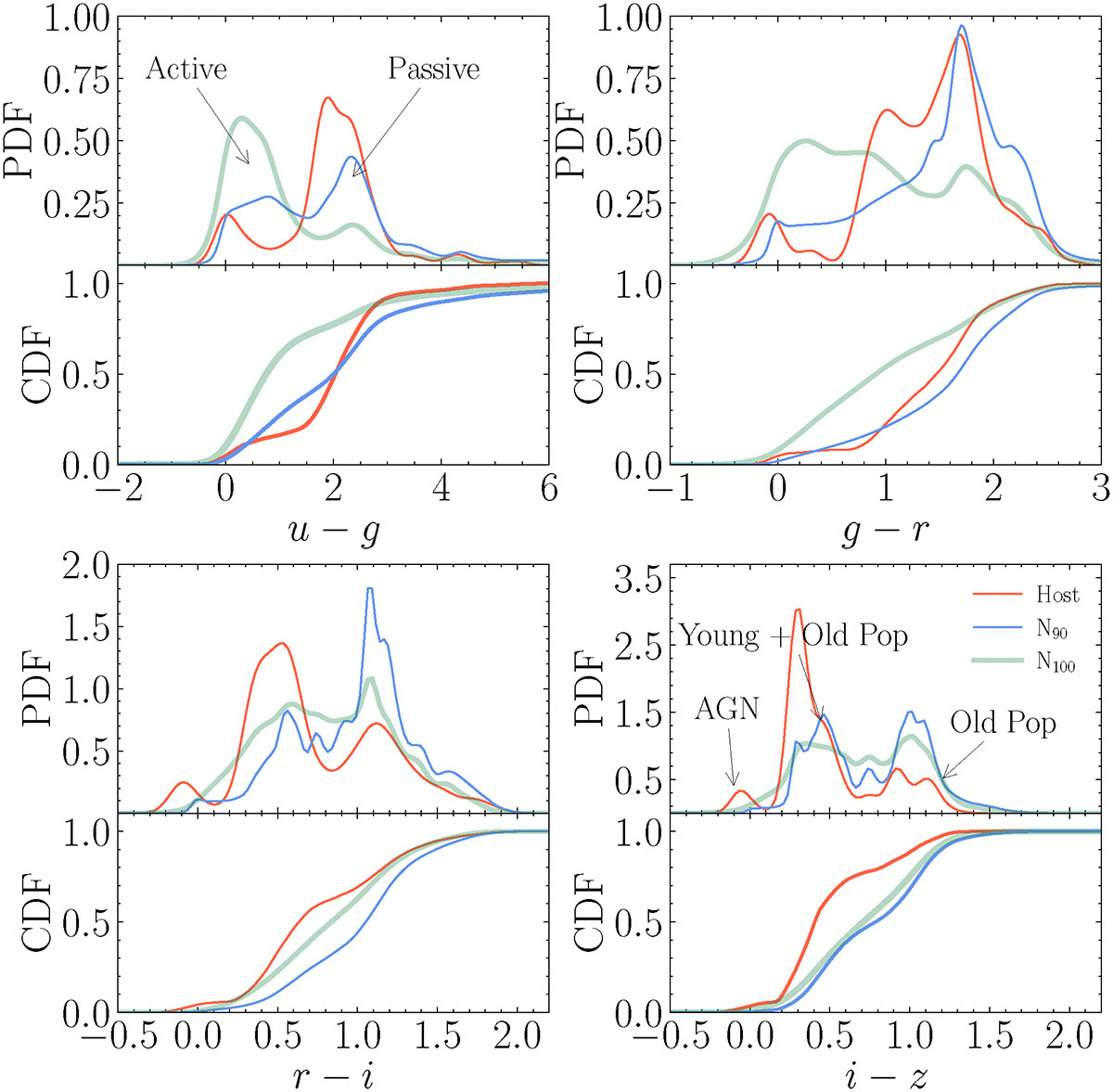
Fig. 12.

image

Download original image

Upper panels: Probability distribution function of the u  −  g, g  −  r, r  −  i, and i  −  z colors for the galaxies within the sky-localization area (N100, green), the galaxies within the sky-localization area contributing to the 90% probability of being the true host (N90, blue), and the true host (Host, red). Lower panel: Cumulative distribution function of the u  −  g, g  −  r, r  −  i, and i  −  z colors for N100, N90, and true host. In all the plots, the distributions correspond to the galaxies associated with CGWs whose S/N < 25.

Current usage metrics show cumulative count of Article Views (full-text article views including HTML views, PDF and ePub downloads, according to the available data) and Abstracts Views on Vision4Press platform.

Data correspond to usage on the plateform after 2015. The current usage metrics is available 48-96 hours after online publication and is updated daily on week days.

Initial download of the metrics may take a while.