Open Access

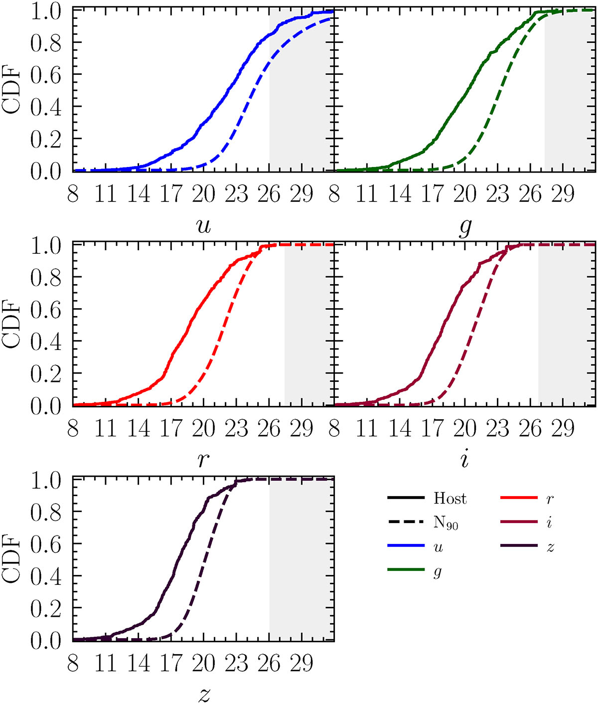
Fig. A.1.

image

Download original image

Cumulative distribution function of the optical magnitudes (u, g, r, i, z) of the galaxies included in the N90 sample (dashed lines). For comparison, we have included the CDF of the true hosts (solid lines). Shaded areas correspond to the magnitudes that LSST cannot detect.

Current usage metrics show cumulative count of Article Views (full-text article views including HTML views, PDF and ePub downloads, according to the available data) and Abstracts Views on Vision4Press platform.

Data correspond to usage on the plateform after 2015. The current usage metrics is available 48-96 hours after online publication and is updated daily on week days.

Initial download of the metrics may take a while.