Open Access

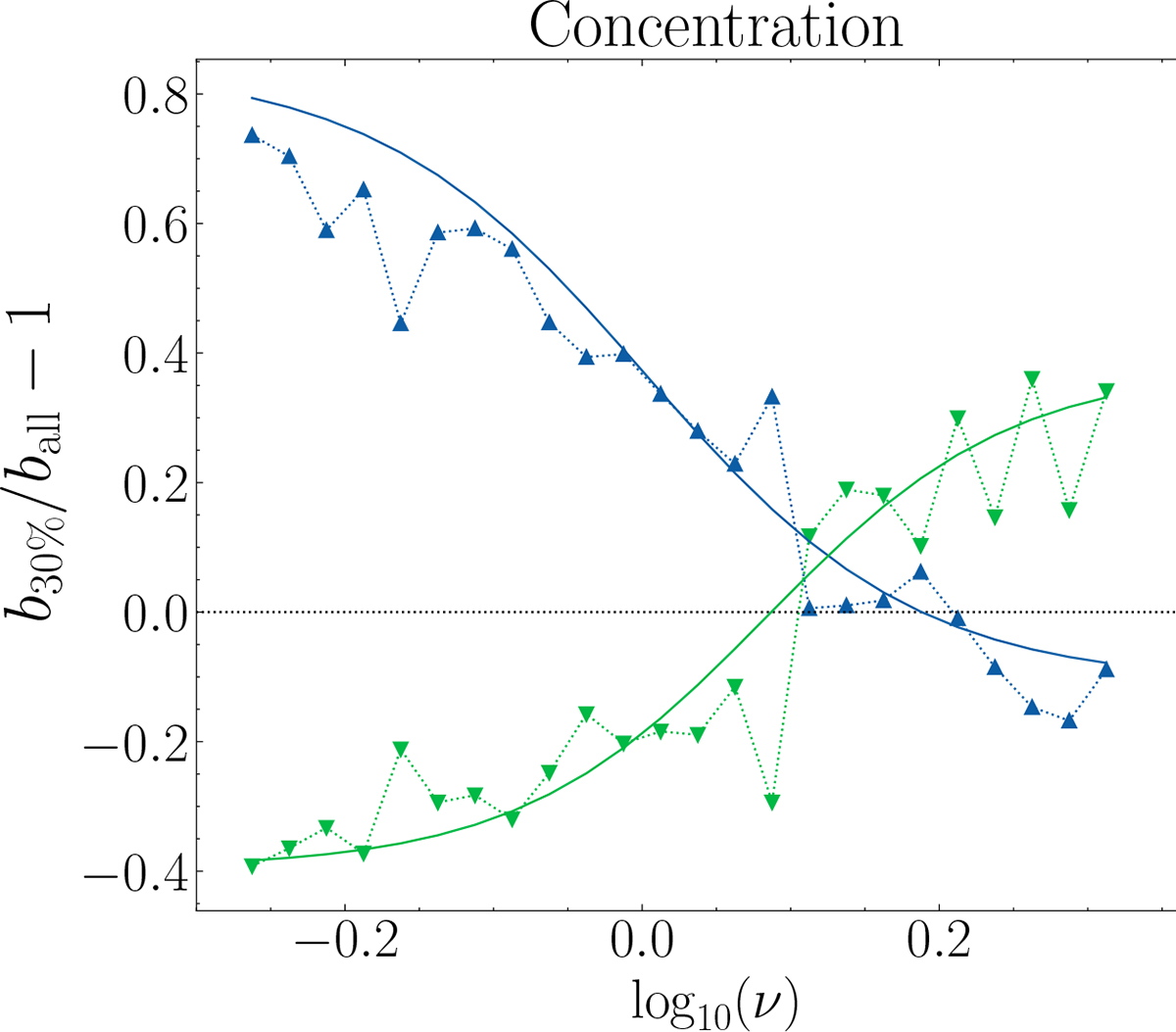
Fig. 5.

image

Download original image

Halo assembly bias for concentration (left), spin (center), and formation time (right). In each panel, the blue and green triangles display the HAB for the 30% of halos with the highest and lowest value of the corresponding property, respectively. The solid lines show the best-fitting model to the measurements (see text).

Current usage metrics show cumulative count of Article Views (full-text article views including HTML views, PDF and ePub downloads, according to the available data) and Abstracts Views on Vision4Press platform.

Data correspond to usage on the plateform after 2015. The current usage metrics is available 48-96 hours after online publication and is updated daily on week days.

Initial download of the metrics may take a while.