Open Access

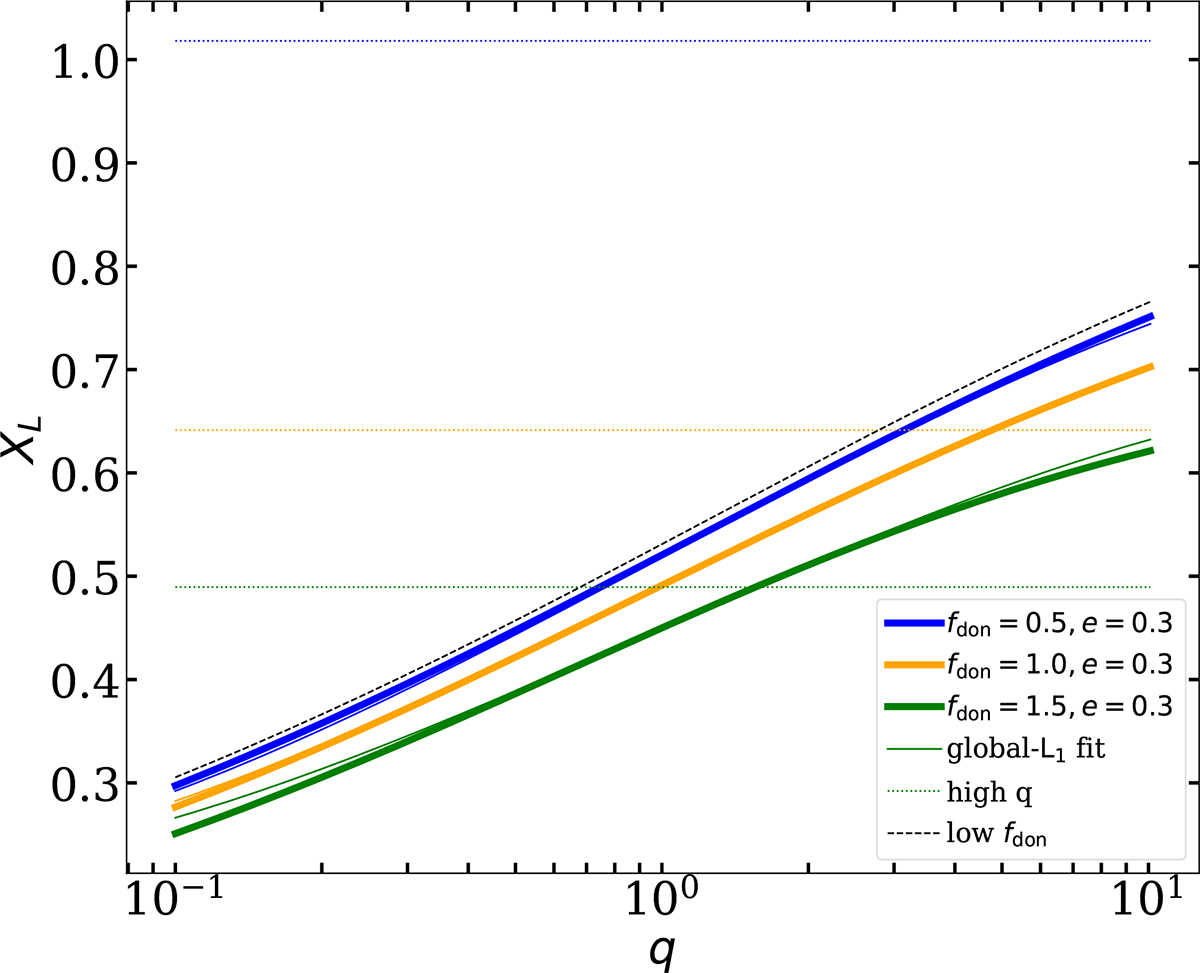
Fig. 1.

image

Download original image

Position of the L1 point relative to the donor center of mass at the periapsis of the binary orbit in units of the instantaneous binary separation. The thick lines show the numerical solutions of Eq. (11). The dotted, dashed, and thin lines illustrate the high-q, low-fdon, and global-L1 models, respectively. Blue, orange, and green correspond to fdon = 0.5, 1.0, and 1.5, respectively, and e = 0.3 for all models. The low-fdon prescription is independent of fdon.

Current usage metrics show cumulative count of Article Views (full-text article views including HTML views, PDF and ePub downloads, according to the available data) and Abstracts Views on Vision4Press platform.

Data correspond to usage on the plateform after 2015. The current usage metrics is available 48-96 hours after online publication and is updated daily on week days.

Initial download of the metrics may take a while.