Open Access

Fig. 2.

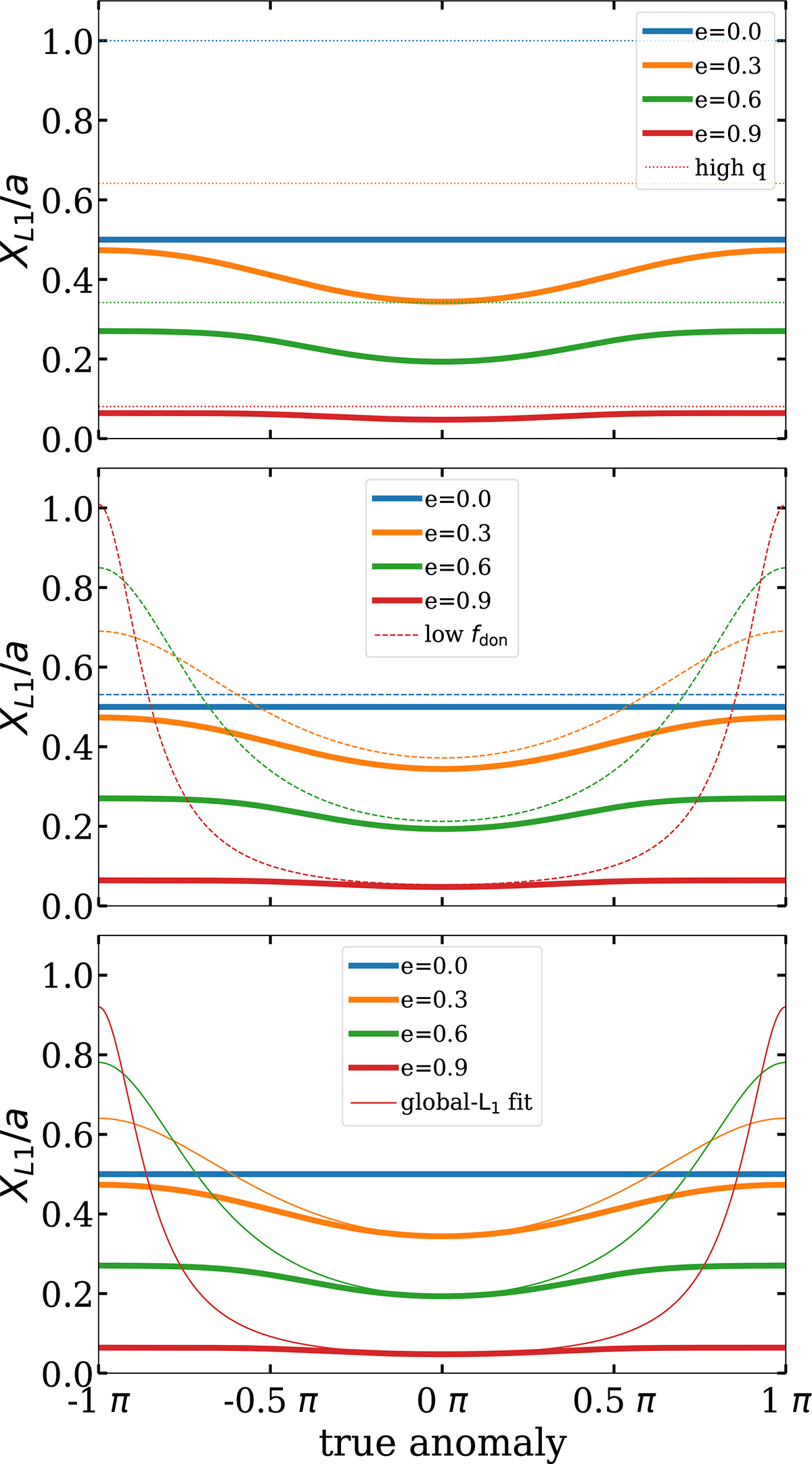
image

Download original image

Position of the L1 point relative to the donor center of mass in units of the semimajor axis a for q = 1 and fdon = 1 as a function of the true anomaly. The thick lines are the numerical solutions of Eq. (8). From top to bottom, the dotted, dashed, and thin lines illustrate the high-q, low-fdon, and global-L1 models, respectively. Blue, orange, green and red correspond to e = 0.0, 0.3, 0.6, and 0.9, respectively.

Current usage metrics show cumulative count of Article Views (full-text article views including HTML views, PDF and ePub downloads, according to the available data) and Abstracts Views on Vision4Press platform.

Data correspond to usage on the plateform after 2015. The current usage metrics is available 48-96 hours after online publication and is updated daily on week days.

Initial download of the metrics may take a while.