Open Access

Fig. 16.

image

Download original image

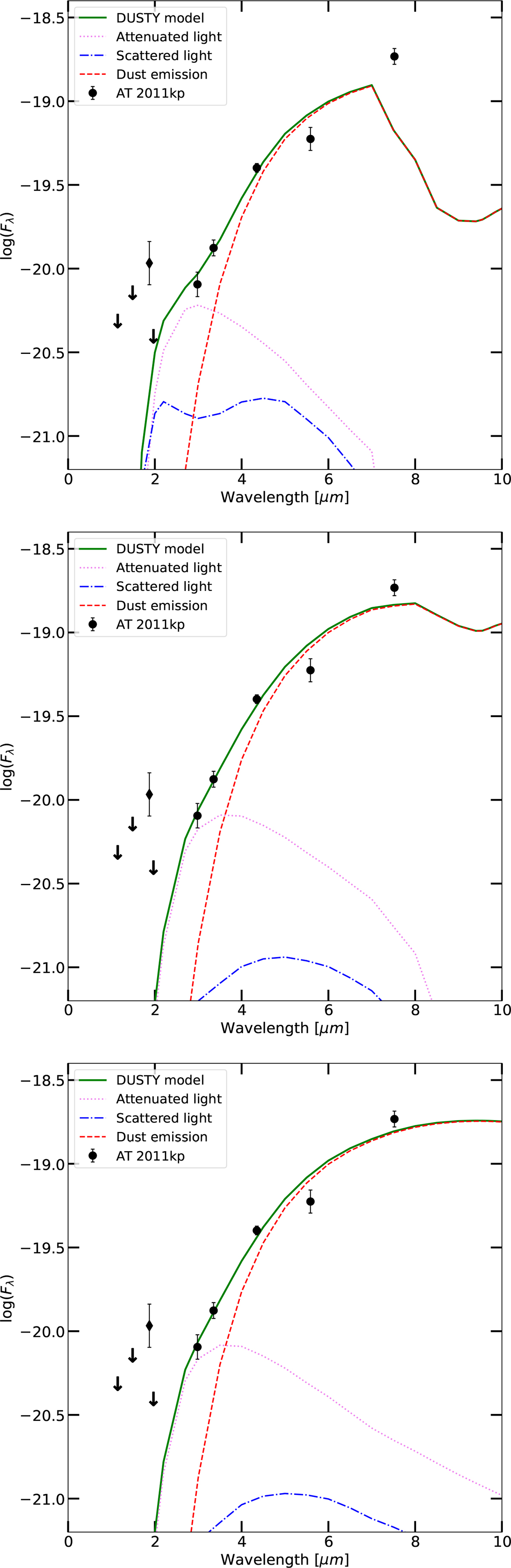
Spectral energy distribution of AT 2011kp as obtained from JWST observations performed in 2023 and 2024 (13 years after the LRN onset), from 1.15 to 7.7 μm (black points). Downwards arrows mark upper limits. The SED is best-fitted with three DUSTY models with different chemical compositions: 100% silicates (top panel), 50% silicates + 50% AMC (middle panel), and 100% AMC (bottom panel). Contributions from dust emission, attenuated, and scattered light are also shown. The excess at 1.8 μm is marked with a rhombus.

Current usage metrics show cumulative count of Article Views (full-text article views including HTML views, PDF and ePub downloads, according to the available data) and Abstracts Views on Vision4Press platform.

Data correspond to usage on the plateform after 2015. The current usage metrics is available 48-96 hours after online publication and is updated daily on week days.

Initial download of the metrics may take a while.