Open Access

Fig. 9.

Fig. 9. Refer to the following caption and surrounding text.

Download original image

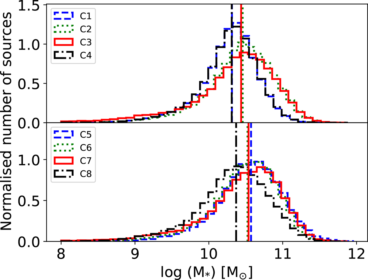
Comparison of stellar mass for optically (top panel) and UV-selected (bottom panel) green valley galaxies using colour (C1 (g − r) and C2 (NUV − r), blue dashed histograms), SFR-M* (C3 and C4, red solid histograms, sSFR (C5 and C6, green dotted histograms), and colour with Gaussian fit (C7 (g − r) and C8 (NUV − r), black dot-dashed histograms)) criteria. The vertical dashed lines in both panels represent the median values of each criterion applied.

Current usage metrics show cumulative count of Article Views (full-text article views including HTML views, PDF and ePub downloads, according to the available data) and Abstracts Views on Vision4Press platform.

Data correspond to usage on the plateform after 2015. The current usage metrics is available 48-96 hours after online publication and is updated daily on week days.

Initial download of the metrics may take a while.