Open Access

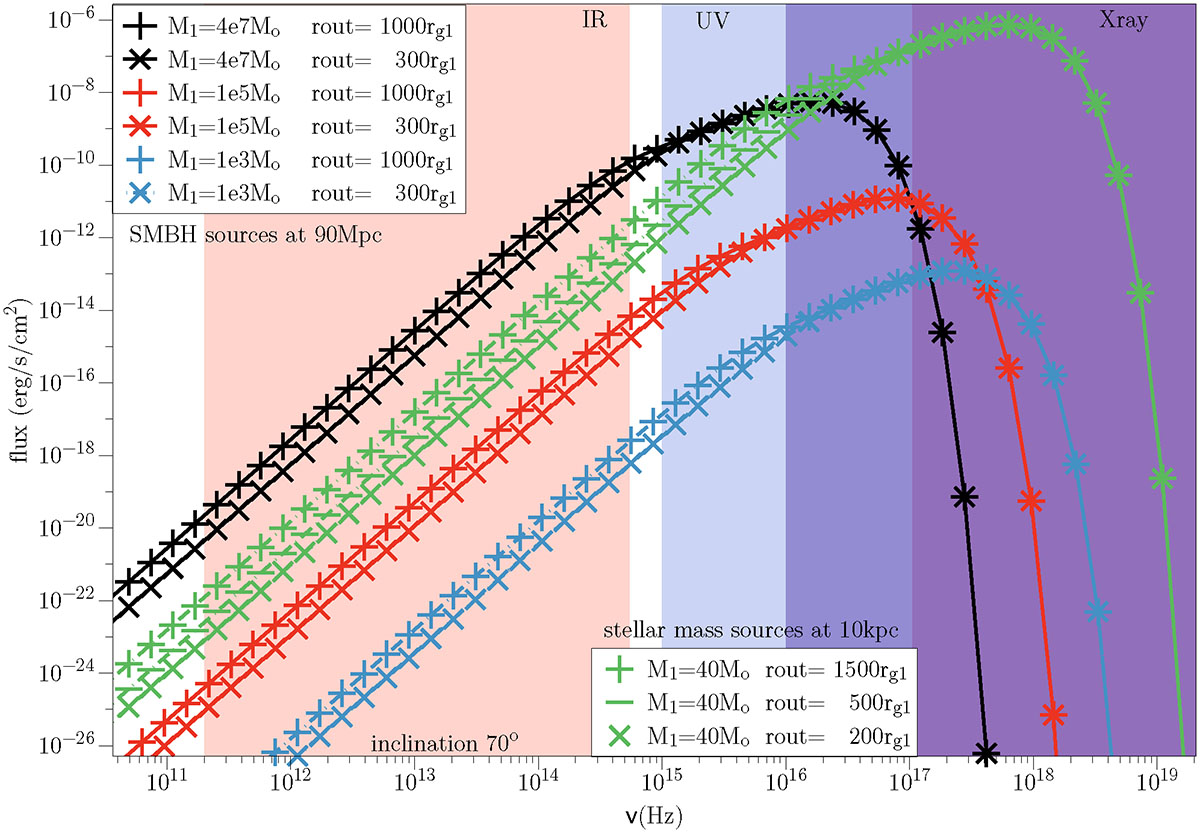
Fig. 2.

image

Download original image

Evolution of the SED as the outer edge of the preexisting disk is sculpted away for different masses of supermassive BBHs and radius evolution in the equal-mass case. All the supermassive sources are located at 90.3 Mpc, and the 40 M is at 10 kpc. They are all observed at an inclination of 70° to be easily compared.

Current usage metrics show cumulative count of Article Views (full-text article views including HTML views, PDF and ePub downloads, according to the available data) and Abstracts Views on Vision4Press platform.

Data correspond to usage on the plateform after 2015. The current usage metrics is available 48-96 hours after online publication and is updated daily on week days.

Initial download of the metrics may take a while.