Open Access

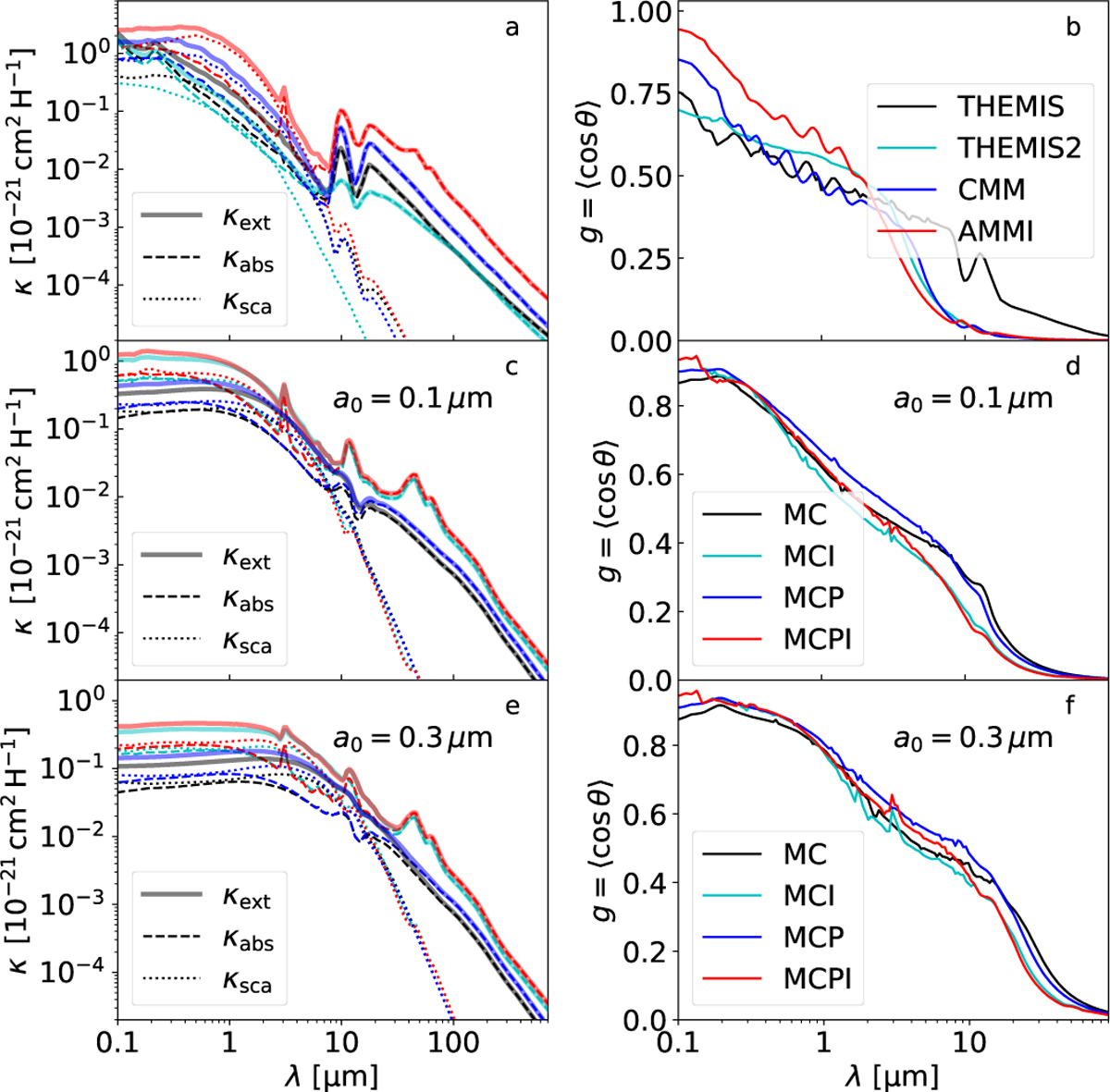
Fig. B.1

image

Download original image

Dust cross-sections κext, κabs, and κsca per hydrogen atom (left frames) and asymmetry parameters g=〈cos θ〉 (right frames) for selected dust models. The uppermost frames show the data for the THEMIS, THEMIS2, CMM, and AMMI models. The other frames show the corresponding data for the MC, MCI, MCP, and MCPI models, for the a0=0.1 μm (frames c-d) and a0=0.3 μm (frames e-f) size distributions.

Current usage metrics show cumulative count of Article Views (full-text article views including HTML views, PDF and ePub downloads, according to the available data) and Abstracts Views on Vision4Press platform.

Data correspond to usage on the plateform after 2015. The current usage metrics is available 48-96 hours after online publication and is updated daily on week days.

Initial download of the metrics may take a while.