Open Access

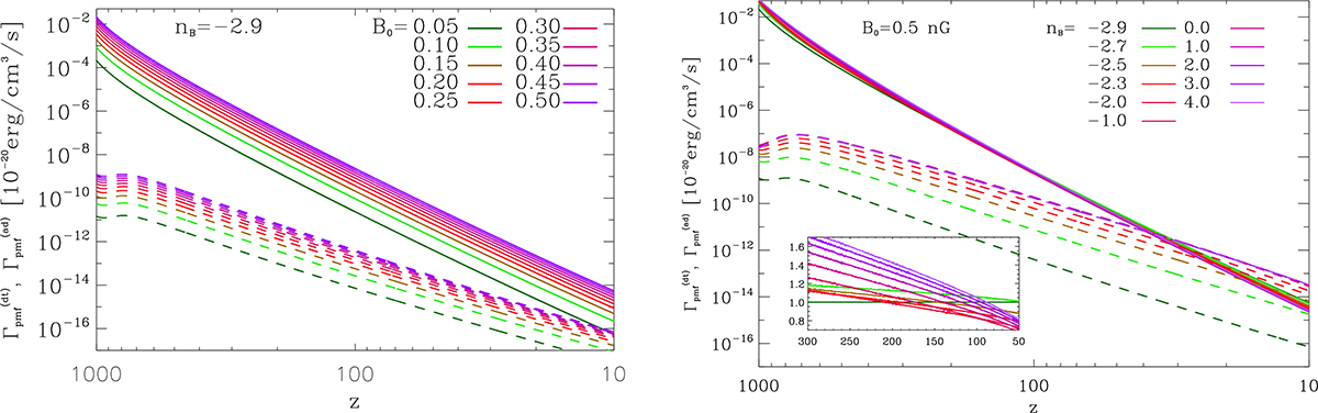
Fig. 2.

image

Download original image

Heating functions caused by decaying magnetic turbulence (solid lines) and ambipolar diffusion (dashed lines) in PMFs models with different B0 (left) and nB (right). The inset panel shows Γ pmf ( dt ) ( z , B 0 , n B ) / Γ pmf ( dt ) ( z , B 0 , n B = 2.9 ) $ \Gamma_{\mathrm{pmf}}^{\mathrm{(dt)}}(z,B_0,n_{\mathrm{B}})/\Gamma_{\mathrm{pmf}}^{\mathrm{(dt)}}(z,B_0,n_{\mathrm{B}}=-2.9) $ for the purpose of distinguishing lines in the 21 cm line formation region.

Current usage metrics show cumulative count of Article Views (full-text article views including HTML views, PDF and ePub downloads, according to the available data) and Abstracts Views on Vision4Press platform.

Data correspond to usage on the plateform after 2015. The current usage metrics is available 48-96 hours after online publication and is updated daily on week days.

Initial download of the metrics may take a while.