Open Access

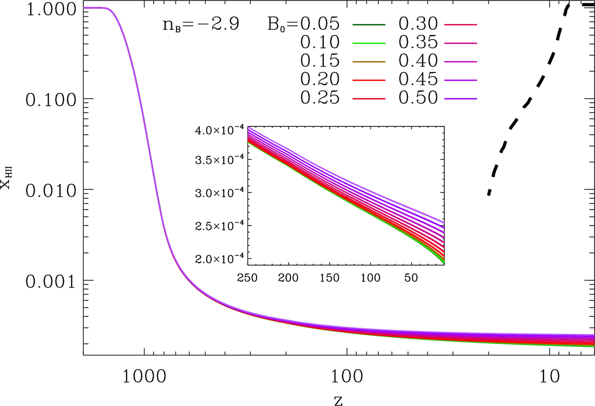
Fig. 3.

image

Download original image

Dependence of ionised hydrogen fraction on redshift in models with primordial stochastic magnetic fields with different values of B0, which increases for lines from bottom to top. The dashed line is the 2σ upper limit from the CMB radiation polarization data (Planck Collaboration VI 2020).

Current usage metrics show cumulative count of Article Views (full-text article views including HTML views, PDF and ePub downloads, according to the available data) and Abstracts Views on Vision4Press platform.

Data correspond to usage on the plateform after 2015. The current usage metrics is available 48-96 hours after online publication and is updated daily on week days.

Initial download of the metrics may take a while.