Open Access

Fig. 4.

image

Download original image

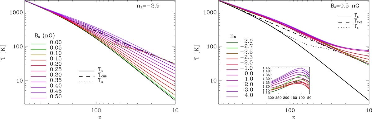
Evolution of baryonic matter temperature Tb (solid lines) and spin temperature Ts (dotted lines) from cosmological recombination up to z = 10 in ΛCDM model with PMF with different B0 (left panel) and with different values of spectral indices nB (right panel). The dashed line in both panels shows the temperature of CMB. The inset in the right panel shows Tb(z, B0, nB)/Tb(z, B0, nB = −2.9) for the purpose of distinguishing lines in the 21 cm line formation region.

Current usage metrics show cumulative count of Article Views (full-text article views including HTML views, PDF and ePub downloads, according to the available data) and Abstracts Views on Vision4Press platform.

Data correspond to usage on the plateform after 2015. The current usage metrics is available 48-96 hours after online publication and is updated daily on week days.

Initial download of the metrics may take a while.