Open Access

Fig. 1

image

Download original image

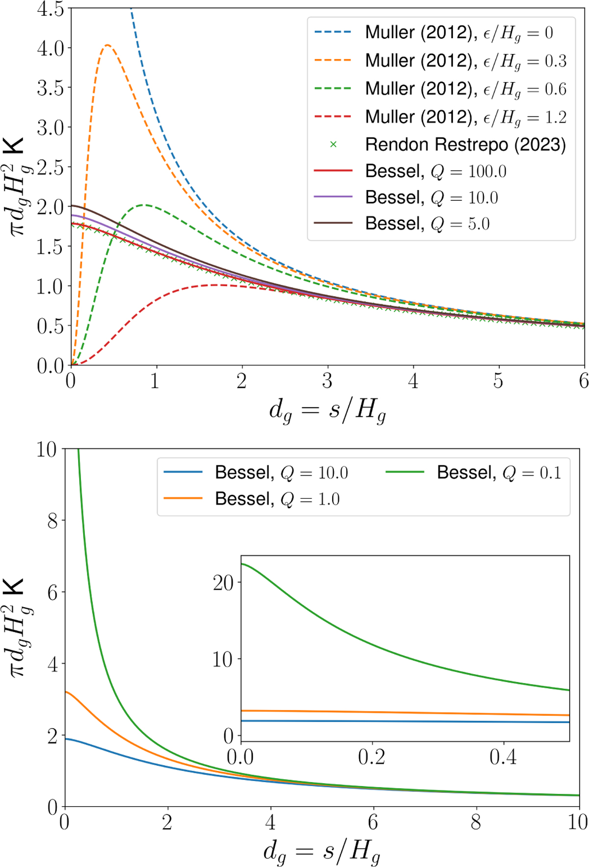
Normalised SG kernels, πdgHg2K$\pi d_{g} H_{g}^{2} \mathrm{~K}$, for light (top) and massive (bottom) discs. For light discs, the prescriptions of Müller et al. (2012) and Rendon Restrepo & Barge (2023) are insensitive to the Toomre’s parameter. This is in contrast with the Bessel prescription, which scale as 1/Qg in the limit of massive discs. When a constant SL prescription is used, the kernel vanishes at short distances, whereas for a vanishing SL, the kernel diverges, suggesting an overestimation of SG. The Bessel prescription is the unique prescription that is simultaneously inversely proportional to Qg for massive discs, does not vanish at the singularity and permits a smooth transition between massive and light discs.

Current usage metrics show cumulative count of Article Views (full-text article views including HTML views, PDF and ePub downloads, according to the available data) and Abstracts Views on Vision4Press platform.

Data correspond to usage on the plateform after 2015. The current usage metrics is available 48-96 hours after online publication and is updated daily on week days.

Initial download of the metrics may take a while.