Open Access

Fig. 2

image

Download original image

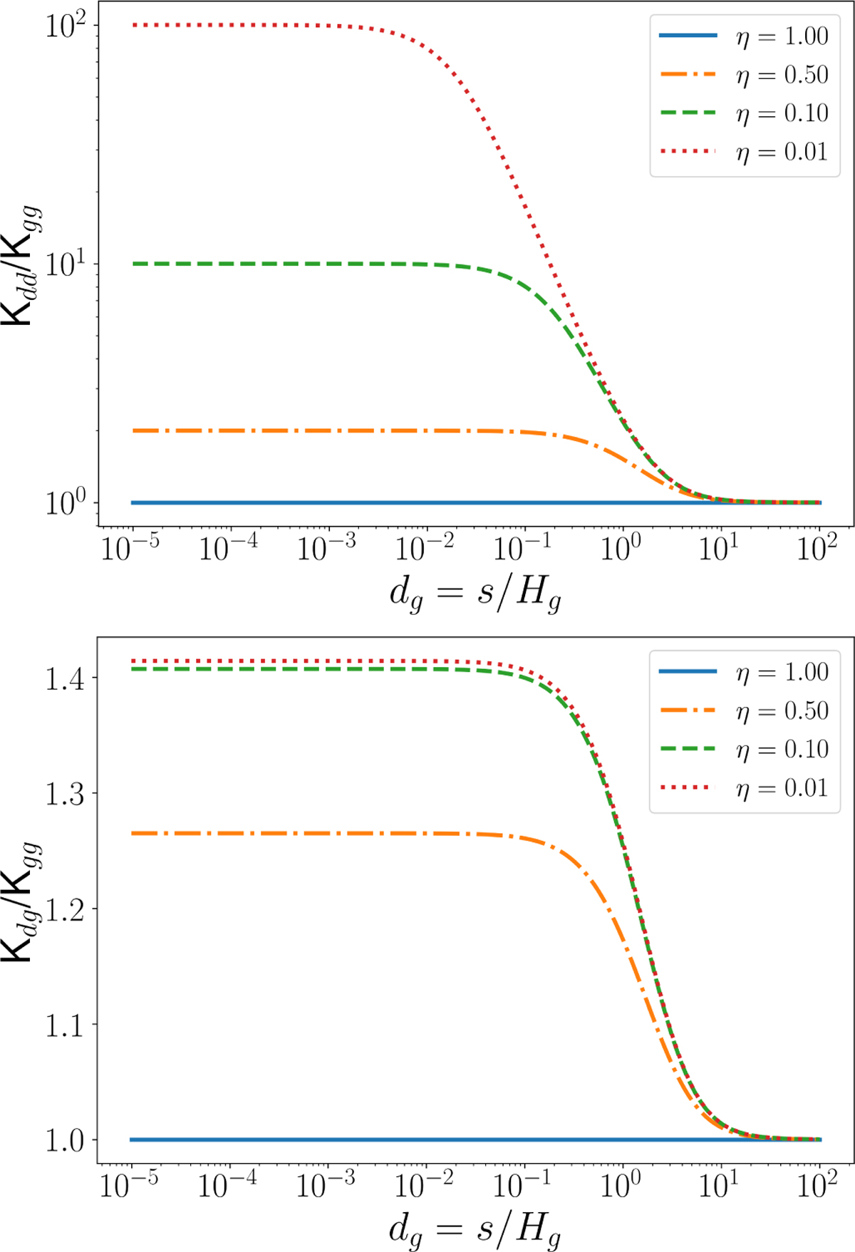
Normalised kernels associated with dust with respect to distance for different dust-to-gas scale heights, η. The dust-dust, Kdd, and dust-gas, Kdg, kernels are insensitive to η at large distances, an aspect also in agreement with the SL prescription (see Fig. 13 of Müller et al. 2012). The dust-dust kernel scales with 1/η at short range, which suggests that the SG acceleration due to dust can be comparable of the one of gas even for Zdg=0.01. At short distances, the normalised dust-gas kernel converges quickly towards 2$\sqrt{2}$ (i.e. with respect to decreasing η). As a consequence this kernel adopts a nature akin to the kernel associated with a planet-disc interaction.

Current usage metrics show cumulative count of Article Views (full-text article views including HTML views, PDF and ePub downloads, according to the available data) and Abstracts Views on Vision4Press platform.

Data correspond to usage on the plateform after 2015. The current usage metrics is available 48-96 hours after online publication and is updated daily on week days.

Initial download of the metrics may take a while.