Open Access

Fig. 3

image

Download original image

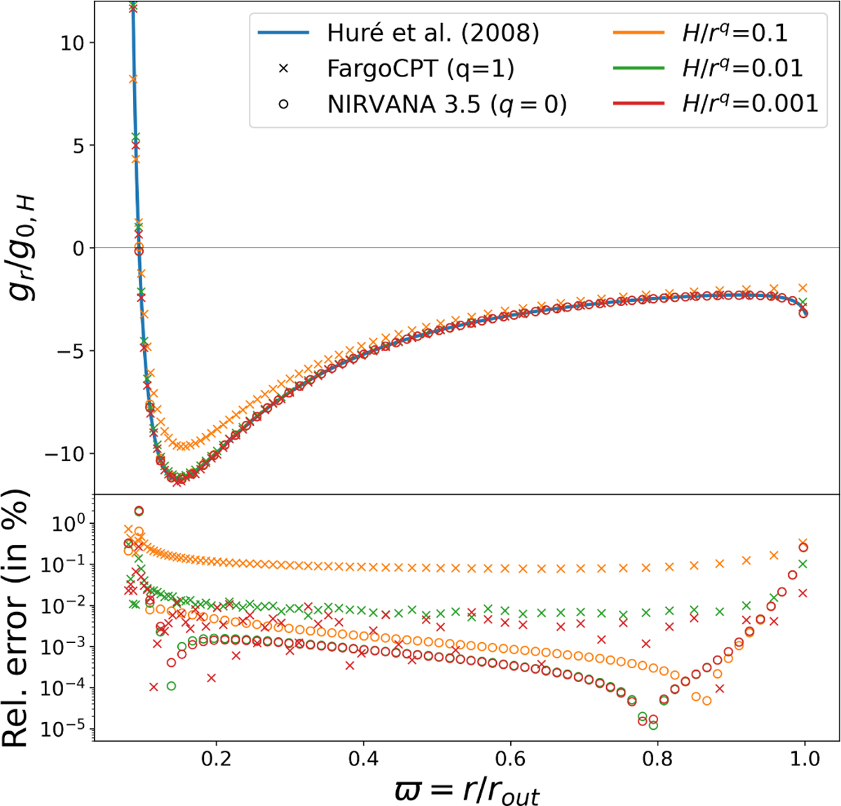
Radial SG force of the power law disc for different scale heights. The accuracy of our kernel increases with decreasing aspect ratios. Note that for ϖ ≃ 0.07 the relative error is beyond unity, which is a bias in the statistical measure due to a vanishing radial acceleration. We recall that in FargoCPT and Nirvana-iii we used a logarithmic and uniform radial grid, respectively.

Current usage metrics show cumulative count of Article Views (full-text article views including HTML views, PDF and ePub downloads, according to the available data) and Abstracts Views on Vision4Press platform.

Data correspond to usage on the plateform after 2015. The current usage metrics is available 48-96 hours after online publication and is updated daily on week days.

Initial download of the metrics may take a while.