Open Access

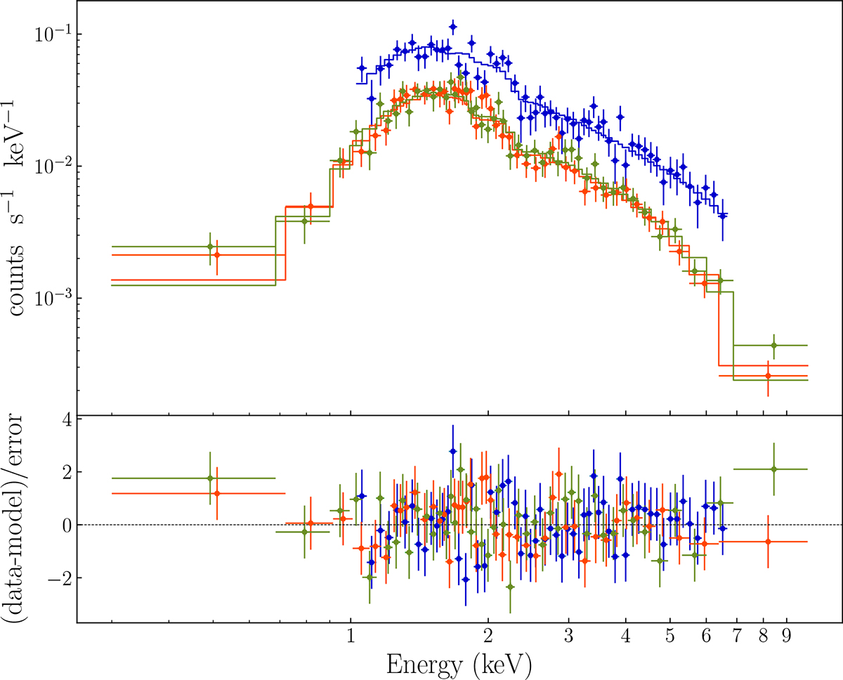
Fig. 2.

image

Download original image

X-ray spectrum of IGR J17511-3057 as observed by XMM-Newton on 2025 March 4 with EPIC-pn (blue), EPIC-MOS1 (orange), and EPIC-MOS2 (green), along with the best-fitting model constant * TBabs * (thComp*bbodyrad) (see Table 1). The bottom panel displays the residuals from the fit.

Current usage metrics show cumulative count of Article Views (full-text article views including HTML views, PDF and ePub downloads, according to the available data) and Abstracts Views on Vision4Press platform.

Data correspond to usage on the plateform after 2015. The current usage metrics is available 48-96 hours after online publication and is updated daily on week days.

Initial download of the metrics may take a while.