Open Access

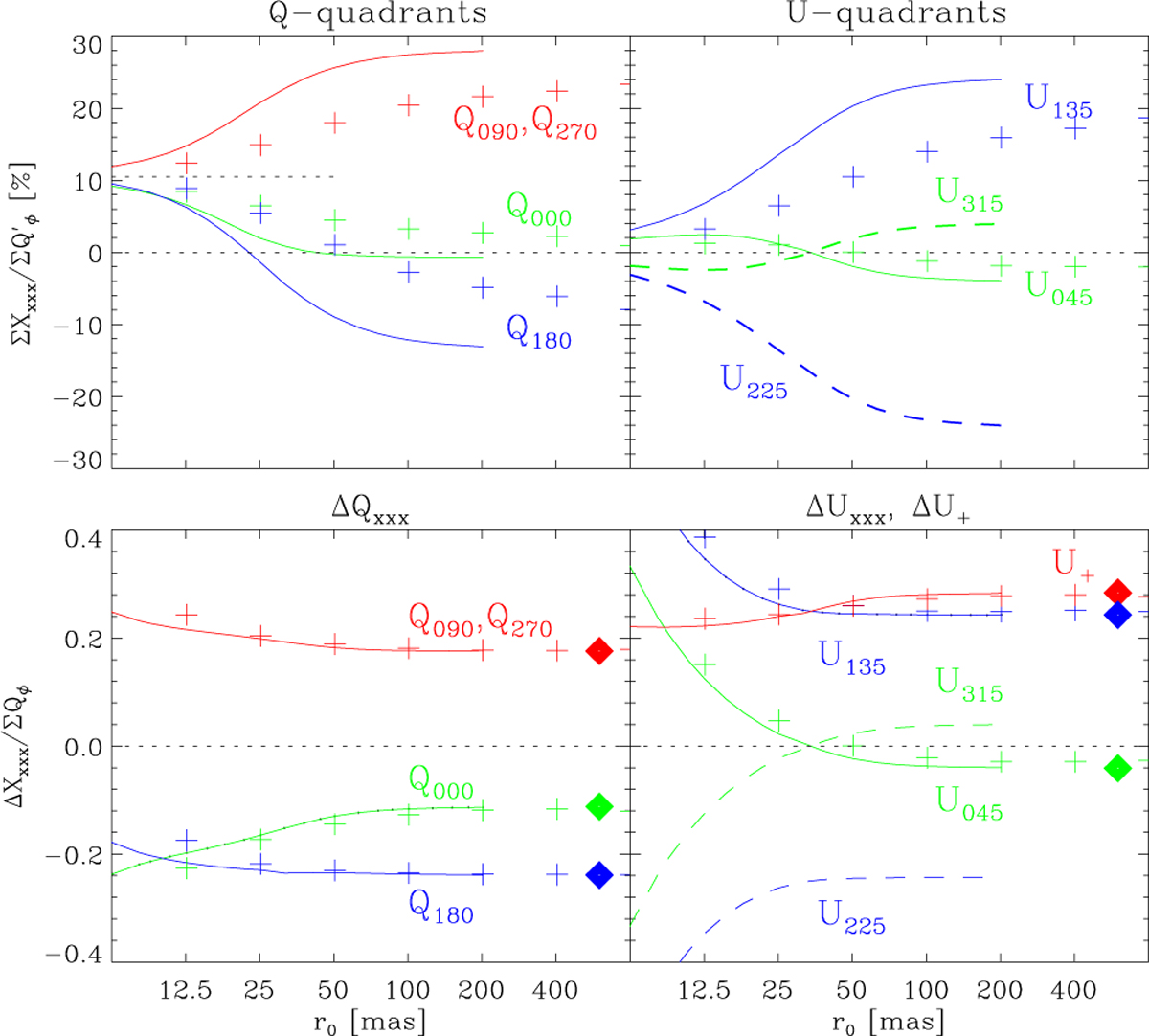
Fig. 13

image

Download original image

Quadrant polarization parameters ΣXxxx normalized to the intrinsic azimuthal polarization Uϕ(x,y)$U_\phi ^\prime (x,y)$ (upper panels) and differential quadrant parameters ∆Xxxx normalized to the convolved ΣQϕ (lower panels) for Ringi60 models as a function of radius r0. Full lines give the values for the convolved PSFG models, and crosses are for convolved PSFAO models. The filled diamonds are the intrinsic values. For clarity not all ∆Uxxx values are given.

Current usage metrics show cumulative count of Article Views (full-text article views including HTML views, PDF and ePub downloads, according to the available data) and Abstracts Views on Vision4Press platform.

Data correspond to usage on the plateform after 2015. The current usage metrics is available 48-96 hours after online publication and is updated daily on week days.

Initial download of the metrics may take a while.