Open Access

Fig. 5.

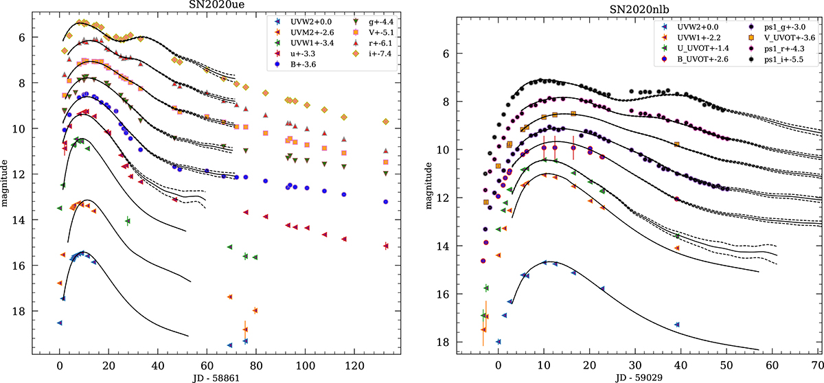
Fig. 5. Refer to the following caption and surrounding text.

Download original image

SNOOPY fits (black curves) to Swift-UVOT and Pan-STARRS gri data of SN 2020ue (left panel) and SN 2020nlb (right panel). The fits were obtained with the max-model light curve model function and the sBV stretch-colour parameter.

Current usage metrics show cumulative count of Article Views (full-text article views including HTML views, PDF and ePub downloads, according to the available data) and Abstracts Views on Vision4Press platform.

Data correspond to usage on the plateform after 2015. The current usage metrics is available 48-96 hours after online publication and is updated daily on week days.

Initial download of the metrics may take a while.