Open Access

Fig. 2.

image

Download original image

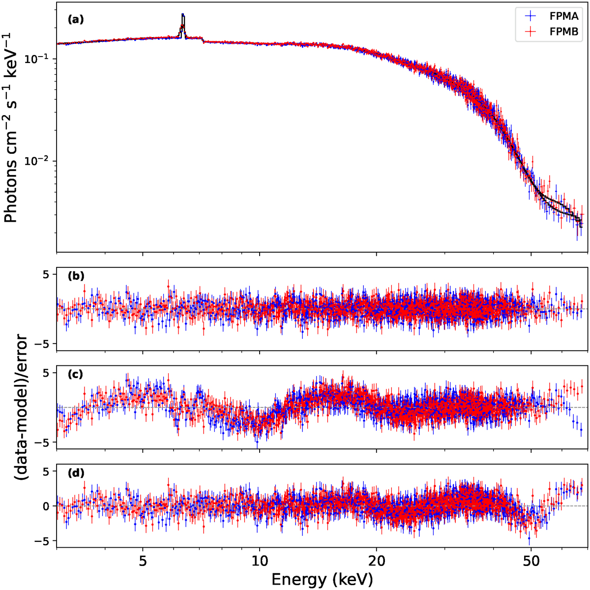
(a) Spectrum and best-fit model for ObsID 91002349002 in energy range 3–70 keV using the model const×tbabs×pcfabs(gauss+gauss+gabs×gabs×fdcut). The FPMA data is in red and the FPMB data in blue. The best-fit model is shown in black. (b) Residuals for the best-fit model. (c) Residuals after fitting without the feature around 10 keV. (d) Residuals after fitting without the CRSFs.

Current usage metrics show cumulative count of Article Views (full-text article views including HTML views, PDF and ePub downloads, according to the available data) and Abstracts Views on Vision4Press platform.

Data correspond to usage on the plateform after 2015. The current usage metrics is available 48-96 hours after online publication and is updated daily on week days.

Initial download of the metrics may take a while.