Open Access

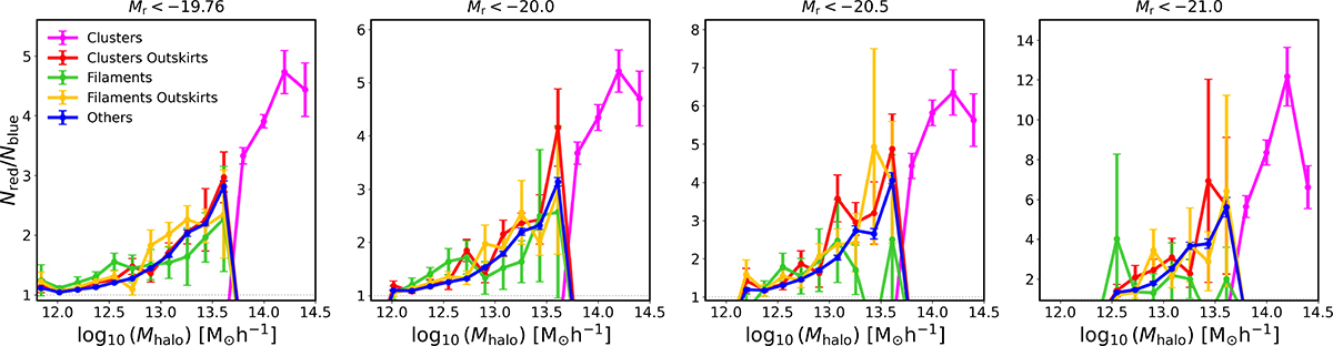
Fig. 6.

image

Download original image

Red-to-blue galaxy ratio (Nred/Nblue) as a function of halo mass (log10(Mhalo/[Mh−1]) for different galactic environments (color-coded) and four magnitude cuts (panels). The ratio increases systematically with halo mass in all environments, with the steepest growth occurring in the densest regions (clusters > cluster outskirts > filaments > filament outskirts > field). This mass- and density-dependent trend persists consistently across all magnitude cuts. Error bars show propagated uncertainties from jackknife-estimated HOD errors.

Current usage metrics show cumulative count of Article Views (full-text article views including HTML views, PDF and ePub downloads, according to the available data) and Abstracts Views on Vision4Press platform.

Data correspond to usage on the plateform after 2015. The current usage metrics is available 48-96 hours after online publication and is updated daily on week days.

Initial download of the metrics may take a while.