Open Access

Fig. 10.

image

Download original image

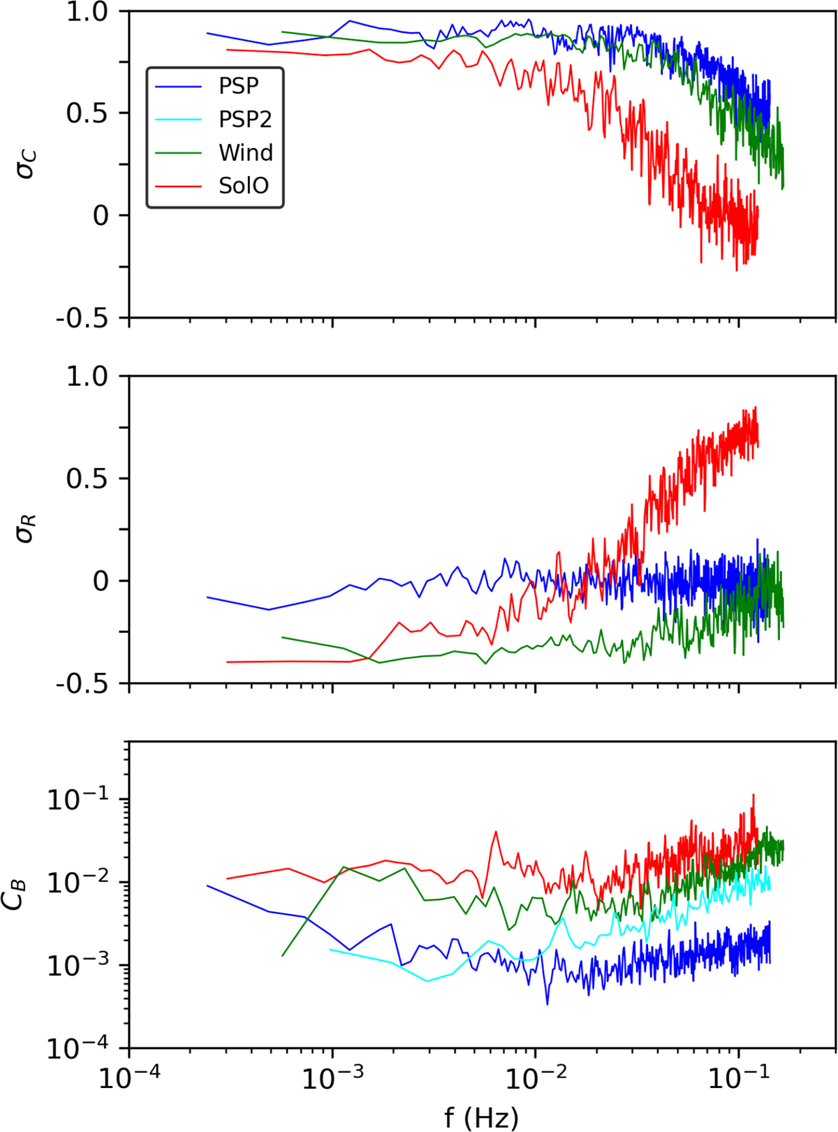
From top to bottom: Power spectra of the normalized cross-helicity, σC, normalized residual energy, σR, and magnetic compressibility, CB, corresponding respectively to PSP (blue), Solar Orbiter (red) and Wind (green) intervals identified in cyan in Figs. 4, 5 and 7. The cyan line in the bottom panel is the power spectrum of the magnetic compressibility of PSP on May 7, 2021 (see interval identified by the cyan box in Figure 6).

Current usage metrics show cumulative count of Article Views (full-text article views including HTML views, PDF and ePub downloads, according to the available data) and Abstracts Views on Vision4Press platform.

Data correspond to usage on the plateform after 2015. The current usage metrics is available 48-96 hours after online publication and is updated daily on week days.

Initial download of the metrics may take a while.