Open Access

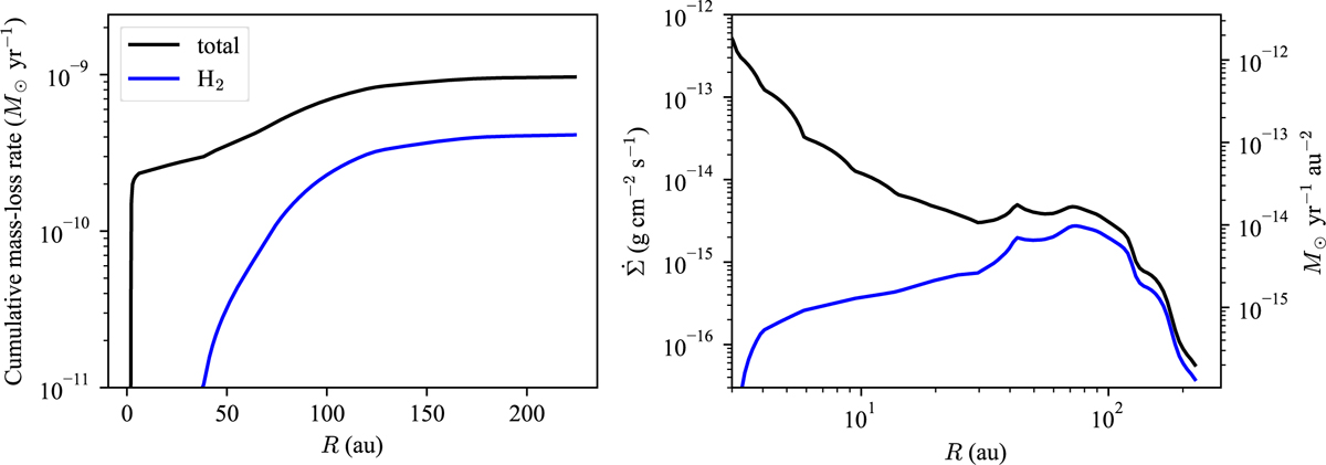
Fig. D.1

image

Download original image

Cumulative (left) and surface (right) mass-loss rates, with black and blue lines indicating the total and H2 mass-loss contributions, respectively. Note that the total mass-loss rates include the contributions from helium-bearing species.

Current usage metrics show cumulative count of Article Views (full-text article views including HTML views, PDF and ePub downloads, according to the available data) and Abstracts Views on Vision4Press platform.

Data correspond to usage on the plateform after 2015. The current usage metrics is available 48-96 hours after online publication and is updated daily on week days.

Initial download of the metrics may take a while.